Strahlensatz Erklärung, Formel und Beispiele
Geschrieben von: Dennis RudolphMittwoch, 29. August 2018 um 17:08 Uhr
Was die Strahlensätze sind und wie man mit diesen rechnet, lernt ihr hier. Zum Inhalt:
- Eine Erklärung, wie die drei Strahlensätze funktionieren.
- Beispiele zum Berechnen von Strecken mit dem Strahlensatz.
- Aufgaben / Übungen zu den Strahlensätzen.
- Ein Video zu diesem Thema.
- Ein Frage- und Antwortbereich zu diesem Gebiet sowie die Strahlensatz Formeln umgestellt.
Tipp: Ihr solltet bereits Wissen, was ein Bruch ist und ihr solltet die Längeneinheiten Zentimeter und Meter kennen. Wer davon noch keine Ahnung hat, sieht bitte in die Bruchrechnung und Längeneinheiten rein.
Strahlensatz: Erklärung und Einführung
Wir versuchen hier die Strahlensätze möglichst einfach zu erklären, um euch eine Einführung in das Thema zu ermöglichen. Zunächst einmal: Wofür braucht man die Strahlensätze? Sehen wir uns eine Definition bzw. Beschreibung an:
Die Strahlensätze dienen dazu Entfernungen bzw. Längen von Strecken zu berechnen. Um einen Strahlensatz anzuwenden, benötigt man drei Längen und kann damit eine vierte Länge berechnen. Die Strahlensätze werden deshalb manchmal auch als Vierstreckensätze bezeichnet.
Wie funktioniert das mit den Strahlensätzen? Nun, wir haben einen Punkt P. Von diesem Punkt aus gehen zwei Strahlen weg, hier in rot eingezeichnet. Zwei parallele Geraden schneiden diese beiden roten Strahlen. Die Geraden werden hier in blau eingezeichnet.

Um mit den Strahlensätzen arbeiten zu können, brauchen wir noch Bezeichnungen.
Es gibt zahlreiche Möglichkeiten die Gleichungen beim Strahlensatz auszudrücken. Wir verwenden hier einfach Variablen (Buchstaben) um die jeweiligen Streckenlängen anzugeben. Bitte nicht wundern, wenn andere Quellen andere Bezeichnungen verwenden.
Um Rechnen zu können, benötigen wir noch Variablen für die Längen. Dies sind in der nächsten Grafik die Unbekannten a bis f:

Anzeige:
Anzeigen:
Strahlensatz Formeln und Beispiele
Man unterscheidet drei Strahlensätze in der Mathematik (Geometrie).
1. Strahlensatz Formel:
Die Längen auf einem der Strahlen verhalten sich wie die entsprechenden Längen auf dem anderen Strahl. Typischerweise verwendet man beim 1. Strahlensatz diese Formel (Gleichung):

Darüber hinaus gibt es noch zweite weitere Formeln zum ersten Strahlensatz:

1. Strahlensatz Beispiel
Sehen wir uns ein Beispiel zum 1. Strahlensatz an. Dabei soll die Länge der grünen Linie berechnet werden.

Lösung:
Wir nehmen die erste Formel beim ersten Strahlensatz. Diese lautet a : b = c : d. Wir suchen dabei die Länge der grünen Linie, welche mit der Variablen c beschrieben wird. Wir stellen die Gleichung nach c um, indem wir mit d multiplizieren. Im Anschluss setzen wir die drei Angaben in die Formel ein und berechnen damit die Länge c.

Mit der Gleichung zum ersten Strahlensatz berechnen wir c = 5,6 cm.
2. Strahlensatz Formel:
Kommen wir zum 2. Strahlensatz. Dieser stellt den Zusammenhang zwischen den Längen auf den Strahlen und den parallelen Geraden her. Auch hier können wir noch die Grafik vom 1. Strahlensatz einsetzen.

Die Gleichungen bzw. Formeln zum zweiten Strahlensatz ergeben sich damit wie folgt:

2. Strahlensatz Beispiel:
In unserem Beispiel zum 2. Strahlensatz suchen wir die Länge der blauen Linie. Wie lang ist diese?

Lösung:
Gesucht ist die Länge von e. Um diese zu berechnen, müssen wir daher die Formel nach e umstellen. Dies machen wir, indem wir mit f multiplizieren. Das f wandert dabei auf der linken Seite in den Zähler und verschwindet auf der rechten Seite komplett. Im Anschluss müssen wir noch alle Angaben einsetzen.

Die Länge e berechnet man mit der Formel zum zweiten Strahlensatz zu e = 2 cm.
3. Strahlensatz Formel / Gleichung
Für den 3. Strahlensatz müssen wir die Grafik aus den vorigen beiden Strahlensätzen erweitern. Es kommt ein dritter Strahl hinzu (mit den Längen g und h) und die parallelen Geraden werden erweitert mit i und j. Werft einmal einen Blick auf die Grafik um dies zu sehen:

Auch hier ergeben sich Zusammenhänge was die Längen angeht. Die Formeln / Gleichungen zum 3. Strahlensatz lauten damit:

3. Strahlensatz Beispiel :
Nehmen wir an e = 3 cm, i = 4 cm und f = 5 cm. Wie lange ist j?
Lösung:
Wir nehmen die oberste Gleichung vom 3. Strahlensatz und stellen diese nach j um. Im Anschluss setzen wir alle Längen ein und berechnen damit j.

Wir berechnen j = 6,666... cm.
Aufgaben / Übungen Strahlensätze
Anzeigen:Video Strahlensätze
Beispiele und Erklärungen
In diesem Video befassen wir uns mit den Strahlensätze. Dies sehen wir uns an:
- Inhalt des Videos
- Erklärung 1. Strahlensatz
- Formeln 1. Strahlensatz mit Beispiel
- Erklärung 2. Strahlensatz
- Formeln 2. Strahlensatz
- Turm Strahlensatz Aufgabe
Nächstes Video »
Fragen mit Antworten Strahlensatz
In diesem Abschnitt sehen wir uns noch typische Fragen mit Antworten zum Strahlensatz an.
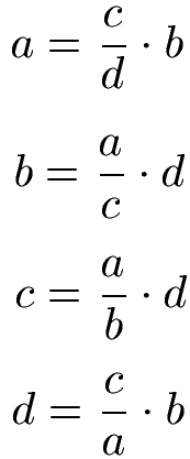
F: Wie lauten die Formeln zum Strahlensatz umgestellt?
A: Wie ihr oben sehen könnt, gibt es zu den drei Strahlensätzen mehrere Formeln. Alle umzustellen ist sehr aufwendig. Daher habe ich hier einmal die häufigst verwenden umgestellt. Alles bezieht sich auf diese Grafik:

Formeln 1. Strahlensatz umgestellt:

Formeln 2. Strahlensatz umgestellt:

F: Was sind typische Aufgaben zum Strahlensatz?
A: Typische Aufgaben in der Schule zum Strahlensatz sind die Berechnung einer Höhe von einem Turm oder einen Baum (mit einem Schatten). Auch werden gerne an Seen Entfernungen ausgerechnet. In der Physik kommen zum Beispiel in der Optik Strahlensätze vor beim Lichtverlauf.
F: Wann werden die Strahlensätze in der Schule behandelt?
A: Die Strahlensätze werden in der Klasse 8 und 9, manchmal aber auch noch in der 10. Klasse in der Schule im Mathematik-Unterricht und manchmal auch im Physik-Unterricht behandelt.
Neue Artikel
- Raute ▷ Formeln, Eigenschaften und Beispiele
- Sachaufgaben Klasse 5 Mathematik Aufgaben
- Sachaufgaben Mathe: Klasse 5
- Worte in Zahlen Aufgaben (Übungen)
- Worte in Zahlen umwandeln
- Teilerfremdheit (Mathematik)
- Hohlmaße umrechnen
- Hundertertafel Grundschule
- Quersumme berechnen und Teilbarkeit
- Quadratzahlen berechnen (mit Liste)
