ABC-Formel: Beispiele und Erklärung
Geschrieben von: Dennis RudolphFreitag, 22. Juni 2018 um 20:01 Uhr
Was die ABC-Formel ist und wie man sie benutzt, lernt ihr hier. Folgende Inhalte werden angeboten:
- Eine Erklärung, was die ABC-Formel ist und wozu man sie braucht.
- Beispiele zum Anwenden der ABC-Formel.
- Aufgaben / Übungen damit ihr dies selbst üben könnt.
- Ein Video zu diesem Thema
- Ein Frage- und Antwortbereich zu diesem Gebiet.
Hinweis: Die ABC-Formel wird manchmal auch Mitternachtsformel genannt. Wer diese Formel nicht mag, kann die Aufgaben auch mit der PQ-Formel lösen.
Erklärung: ABC-Formel
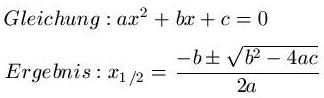
Die ABC-Formel verwendet man in der Mathematik dazu quadratische Gleichungen bzw. quadratische Funktionen zu lösen. Eine quadratische Gleichung bzw. Funktion sieht so aus:

Hier noch einige Beispiele für quadratische Funktionen / Gleichungen:

Mit der ABC-Formel kann man Nullstellen berechnen. Nullstellen sind die Stellen, bei denen y = 0 ist. Es sind damit die Stellen, an denen der Verlauf einer Funktion die x-Achse schneidet. Die nächste Grafik zeigt ein Beispiel. Die Nullstellen sind dabei rot eingekreist.

An den roten eingekreisten Stellen - also den Nullstellen - ist y = 0. Dies nutzen wir bei der Berechnung aus. Haben wir eine quadratische Funktion oder Gleichung und suchen bei dieser die Nullstellen, dann müssen wir diese in eine Form mit = 0 bringen. Danach kann die ABC-Formel verwendet werden, um die Nullstellen zu berechnen. Die allgemeine Form:

Ob die quadratische Funktion eine, zwei oder gar keine Nullstellen hat, hängt von dem ab, was unter der Wurzel steht (Diskriminante).
Anzeige:
Anzeigen:
Beispiele ABC-Formel
Sehen wir uns einige Beispiele zur ABC Formel an. Dabei gehen wir die Frage an: Wie kann man die ABC-Formel einsetzen?
Beispiel 1: ABC-Formel mit zwei Nullstellen
Berechnet werden sollen die Nullstellen der Gleichung 3x2 + 9x + 5 = -1. Wo liegen diese?
Lösung:
Wir formen die Gleichung zunächst so um, dass wir ein = 0 erhalten. Danach lesen wir a, b und c ab. Dies wurde farblich markiert. Wir können dies im Anschluss in die ABC-Formel einsetzen. Wir rechnen zunächst alles unter der Wurzel aus und erhalten eine 9. Die Wurzel aus 9 ziehen wir und erhalten 3. Als nächstes können wir beide Nullstellen berechnen. Dabei nehmen wir einmal ein Plus vor der 3 und einmal ein Minus vor der 3.

Wir erhalten damit die Nullstellen bei x = -1 und x = -2.
Beispiel 2: ABC-Formel ohne Nullstellen
Im zweiten Beispiel haben wir die Gleichung 2x2 + 3x + 30 = 0. Wo liegen die Nullstellen?
Lösung:
Díe Gleichung ist bereits in der Form mit = 0. Aus diesem Grund müssen wir hier keine Umformung durchführen. Aus der Gleichung können wird direkt a = 2, b = 3 und c = 30 ablesen. Dies setzen wir in die Lösungsformel ein. Dabei entsteht ein "Problem". Die Diskriminante - also das was unter der Wurzel steht - wird negativ. In der Schule lernt man, dass man aus negativen Zahlen keine Wurzel ziehen kann. Aus diesem Grund ist die Berechnung an dieser Stelle fertig und es gibt keine Nullstellen.

Beispiel 3: Doppelte Nullstelle
Gegeben sei die Gleichung x2 + 4x + 4 = 0. Berechne mit der ABC-Formel die Nullstellen.
Lösung:
Wir können direkt a = 1, b = 4 und c = 4 ablesen. Die setzen wir in die Lösungsgleichung ein. Unter der Wurzel entsteht dabei eine 0. Dies führt bei der Berechnung mit + und mit - vor der Null dazu, dass wir zwei Mal die selbe Zahl für x erhalten. Bei x = -2 liegt damit eine doppelte Nullstelle vor.

Aufgaben / Übungen zur ABC-Formel
Anzeigen:Video ABC-Formel
Erklärungen und Beispiele
In diesem Video sehen wir uns die ABC-Formel an:
- Was ist die ABC-Formel?
- Was kann man damit lösen?
- Es werden Beispiele vorgerechnet.
Nächstes Video »
Fragen mit Antworten zur ABC-Formel
In diesem Abschnitt sehen wir uns typische Fragen mit Antworten zur ABC-Formel an.
F: Wo liegt der Unterschied zwischen PQ-Formel und ABC-Formel?
A: Bei der PQ-Formel musste vor x2 immer eine 1 stehen. Liegt hier keine 1 vor, musste man die Gleichung umformen, um diese zu erzeugen. Bei der ABC-Formel ist dies nicht der Fall. Hier ist bei der Lösung die Zahl vor x2 einfach das a. In beiden Fällen muss jedoch die Gleichung so umgeformt werden, dass wir = 0 dabei haben. Wer noch mehr zur PQ-Formel lernen möchte, sieht bitte in den Artikel PQ-Formel rein.
F: Was sagt die Diskriminante aus?
A: Die Diskriminante ist das, was man bei der ABC-Formel unter der Wurzel hat. Hier gibt es drei Möglichkeiten:
- Die Diskriminante ist größer als Null: Es liegen damit zwei Nullstellen vor.
- Die Diskriminante ist kleiner als Null: Es gibt keine Nullstellen (im reellen).
- Die Diskriminante ist genau Null: Es gibt eine (doppelte) Nullstelle.
F: Gibt es die ABC-Formel auch ohne c?
A: Zum Beispiel bei der Gleichung x2 + 3x = 0 gibt es kein c. In diesem Fall wird c einfach mit c = 0 in die Lösungsformel eingesetzt.
F: Wie kann man die ABC-Formel herleiten?
A: Die Herleitung / Beweise zur ABC-Formel findet ihr unter ABC-Formel Herleitung / Beweis.
Neue Artikel
- Raute ▷ Formeln, Eigenschaften und Beispiele
- Sachaufgaben Klasse 5 Mathematik Aufgaben
- Sachaufgaben Mathe: Klasse 5
- Worte in Zahlen Aufgaben (Übungen)
- Worte in Zahlen umwandeln
- Teilerfremdheit (Mathematik)
- Hohlmaße umrechnen
- Hundertertafel Grundschule
- Quersumme berechnen und Teilbarkeit
- Quadratzahlen berechnen (mit Liste)
