Widerstandsgesetz Definition + Berechnen
Geschrieben von: Dennis RudolphDonnerstag, 28. Dezember 2017 um 20:29 Uhr
Mit dem Widerstandsgesetz befassen wir uns in diesem Artikel. Kurzfassung der Inhalte:
- Eine Erklärung, wofür man das Widerstandsgesetz braucht und welche Formel es gibt.
- Einige Beispiele zum Rechnen mit dem Widerstandsgesetz.
- Aufgaben / Übungen damit ihr dieses Thema selbst üben könnt.
- Ein Video zu diesem Gebiet.
- Ein Frage- und Antwortbereich zum Widerstandsgesetz.
Dieser Artikel ist Teil unseres Kurses zur Elektrotechnik "Von der Grundlagen der Elektrotechnik in der 5. Klasse bis zum Ingenieur".
- Voriges Kapitel: 1.21 Gruppenschaltung
- Alle Themen: Kurs Elektrotechnik lernen
- Nächstes Kapitel: 1.23 Spezifischer Widerstand
Erklärung Widerstandsgesetz
Ladungen stoßen - zum Beispiel in einem metallischen Leiter - gegen die Ionen des Metallgitters und diese behindern damit ihre Bewegung. Dies bezeichnet man als elektrischen Widerstand. Wie groß dieser elektrische Widerstand ist hängt davon ab, aus welchem Material der Leiter ist, wie lange das Material ist und welche Querschnittsfläche es aufweist.
Gleichung Widerstandsgesetz:

Dabei ist:
- "R" der elektrische Widerstand des Leiters
- "ρ" der spezifischer elektrische Widerstand
- "l" die Länge des Leiters
- "A" ist die Querschnittsfläche des Leiters
Das "ρ" kennen mit Sicherheit viele Leser nicht. Dahinter verbirgt sich eine Materialkonstante, sprich hier wird ein entsprechender Wert mit Einheit eingesetzt, abhängig von dem Material aus welchem der Leiter besteht. Das "ρ" kann man aus Tabellen entnehmen (mehr dazu weiter unten) und wird als Rho ausgesprochen.
Weiter unten findet ihr Beispiele wie man Zahlen mit Einheiten in diese Formel einsetzt. Zunächst jedoch noch die Formel umgestellt nach den anderen Variablen.
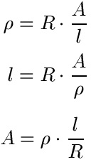
Widerstandsgesetz umgestellt:

Das Widerstandsgesetz besagt demnach:
- Der elektrische Widerstand wird größer wenn der Leiter länger wird.
- Der elektrische Widerstand wird kleiner wenn der Leiter dicker wird.
- Das verwendete Material hat ebenfalls Einfluss auf den Widerstand.
Was man für das "ρ" einsetzen muss hängt vom verwendeten Material ab. Hier eine kleine Tabelle dazu:

Anzeige:
Anzeigen:
Beispiele Widerstandsgesetz
In diesem Abschnitt sollen noch einige Beispiele zum Widerstandsgesetz vorgerechnet werden.
Beispiel 1:
Eine Leitung ist einen halben Kilometer lang und besteht aus Kupfer. Die Querschnittsfläche sei 900 Quadratmillimeter. Wie groß ist der elektrische Widerstand der Leitung?
Lösung:
Die Leitung besteht aus Kupfer, daher können wir aus der Tabelle von weiter oben ρ = 0,017 Ohm mal Millimeterquadrat pro Meter ablesen. Daran sehen wir auch, dass wir als Einheiten noch Millimeterquadrat und Meter brauchen für die restlichen Angaben. Wir setzen daher die Länge nicht in Kilometer ein, sondern rechnen diese in Meter um. Die 900 Quadratmillimeter für die Fläche (Querschnittsfläche) können wir direkt verwenden.
Wir setzen alle Angaben ein und kürzen im Anschluss die Meter und die Quadratmillimeter raus. Es verbleibt als Einheit ein Ohm-Zeichen. Die Zahlen berechnet ergeben 0,0094. Damit haben wir unseren Widerstand für die Leitung mit R = 0,0094 Ohm.

Beispiel 2:
Noch ein Beispiel zum Widerstandsgesetz berechnen. Nun soll die Rechnung umgekehrt durchgeführt werden. Berechnet werden soll der spezifische elektrischer Widerstand ρ. Der Leiter hat einen Widerstand von R = 0,0094 Ohm und ist 500 Meter lang. Der Querschnitt sei 900 Quadratmillimeter.

Aufgaben / Übungen Widerstandsgesetz
Anzeigen:Widerstandsgesetz Videos
Spezifischer Widerstand
Das Widerstandsgesetz wird im nächsten Video behandelt, jedoch unter dem Titel "spezifischer Widerstand". Dabei wird erklärt, wie das Gesetz funktioniert und es werden Beispiele mit Zahlen und Einheiten vorgerechnet.
Nächstes Video »
Widerstandsgesetz Fragen mit Antworten
Fragen mit Antworten zum Widerstandsgesetz werden in diesem Abschnitt behandelt.
F: Wann wird das Widerstandsgesetz in der Schule behandelt?
A: Das Rechnen mit dem Widerstandsgesetz wird meistens ab der 8. Klasse der Schule in Physik behandelt. Wer es hier nicht kennengelernt und dennoch Physik oder Elektrotechnik studiert, der lernt das Widerstandsgesetz im Grundstudium kennen.
Neue Artikel
- Raute ▷ Formeln, Eigenschaften und Beispiele
- Sachaufgaben Klasse 5 Mathematik Aufgaben
- Sachaufgaben Mathe: Klasse 5
- Worte in Zahlen Aufgaben (Übungen)
- Worte in Zahlen umwandeln
- Teilerfremdheit (Mathematik)
- Hohlmaße umrechnen
- Hundertertafel Grundschule
- Quersumme berechnen und Teilbarkeit
- Quadratzahlen berechnen (mit Liste)
