Terme umformen / umstellen
Geschrieben von: Dennis RudolphDonnerstag, 08. April 2021 um 17:10 Uhr
Wie kann man Terme umformen (Weiterführendes Thema: Gleichungen lösen)? Dies sehen wir uns an:
- Eine Erklärung, wie die Termumformung funktioniert.
- Viele Beispiele zur Umformung von Termen.
- Aufgaben / Übungen damit ihr dies selbst üben könnt.
- Videos zum Umgang mit Termen.
- Ein Frage- und Antwortbereich zu diesem Thema.
Wir sehen uns gleich an, wie man mit Termen umgeht. Es hilft, wenn ihr bereits die Grundrechenarten kennt, also Addition, Subtraktion, Multiplikation und Division. Ihr solltet auch wissen, was eine Variable ist. Ihr wisst dies bereits? Dann ran an das Arbeiten mit Termen. Ansonsten bitte erst diese beiden Artikel kurz nachlesen.
Terme kann man auch miteinander vergleichen bzw. nach einer Variablen wie zum Beispiel x auflösen. Wen dies interessiert sieht noch in den Artikel Gleichungen lösen.
Erklärung Terme umformen
Wie funktioniert das Umformen und Zusammenfassen von Termen? Fangen wir dazu mit einer einfachen Regel an: Kommen bei Termen die gleichen Variablen vor, dann darf man diese zusammenfassen.

Dies funktioniert auch wenn zwei Variablen pro Term vorkommen:

Das dies mit der Zusammenfassung funktioniert sehen wir uns gleich einmal mit ein paar Zahlen an. Dazu fassen wir die Terme 6xy + 2xy zusammen zu 8xy und setzen danach x = 2 und y = 3 ein.

Das Umformen funktioniert auch bei Potenzen. Diese Potenzen bei Termen kann man ebenfalls zusammenfassen. Die nächste Berechnung zeigt 2x2y3 + 4x2y3 zusammengefasst zu 6x2y3. Wir schreiben dies zunächst mit Malzeichen dazwischen. Im Anschluss setzen wir x = 4 und y = 3 ein. Wichtig beim Rechnen mit Zahlen ist, dass wir zuerst die Potenzen rechnen und danach die Multiplikation.

Anzeige:
Anzeigen:
Beispiele Termumformung
In diesem Abschnitt sollen weitere Beispiele zur Termumformung gezeigt werden. Dabei werfen wir einen Blick auf die Binomischen Formeln. Wer diese noch nicht kennt kann gerne auch auf den Artikel Binomische Formel sehen.
Beispiel 1:
Wende auf (4y + 3z)2 die erste Binomische Formel an.
Lösung:
Die 1. Binomische Formel schreiben wir auf. Dann lesen wir a = 4y und b = 3z aus der Aufgabenstellung ab. Dies setzen wir in a2 + 2ab + b2 ein und berechnen das Ergebnis damit.

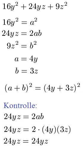
Beispiel 2:
Beispiel Nummer 2 soll den Vorgang umdrehen. Im Prinzip werden die Binomischen Formeln rückwärts angewendet. Verwendet werden soll 16y2 + 24yz + 9z2. Die 1. Binomische Formel soll darauf angewendet werden.
Lösung:
Wir nehmen die Gleichung und lesen a2, 2ab und b2 ab. Wir ziehen die mathematische Wurzel und erhalten a = 4y und b = 3z. Damit bauen wir die 1. Binomische Formel auf. Den mittleren Teil kontrollieren wir am Ende der Rechnung noch einmal.

Aufgaben / Übungen Terme umformen
Anzeigen:Videos Terme umformen
Term umformen und Zusammenfassung
In diesem Video sollen Grundlagen zum Umformen von Termen erklärt werden:
- Dabei zeige ich dir wie man Variablen bei Termen zusammenfasst.
- Es werden Beispiele vorgerechnet.
- Die vorgestellten Aufgaben werden Schritt für Schritt erklärt.
Nächstes Video »
Fragen mit Antworten zur Termumformung
In diesem Abschnitt sehen wir und noch Fragen mit Antworten rund um Terme an.
F: Welche Artikel bzw. Inhalte zu Termen sollte ich mir noch ansehen?
A: Dies Gebiete solltet ihr euch noch ansehen:
- Terme umformen und zusammenfassen
- Terme Aufgaben / Übungen
Neue Artikel
- Raute ▷ Formeln, Eigenschaften und Beispiele
- Sachaufgaben Klasse 5 Mathematik Aufgaben
- Sachaufgaben Mathe: Klasse 5
- Worte in Zahlen Aufgaben (Übungen)
- Worte in Zahlen umwandeln
- Teilerfremdheit (Mathematik)
- Hohlmaße umrechnen
- Hundertertafel Grundschule
- Quersumme berechnen und Teilbarkeit
- Quadratzahlen berechnen (mit Liste)
