Potenzen addieren und subtrahieren
Geschrieben von: Dennis RudolphDonnerstag, 08. April 2021 um 17:23 Uhr
Wie man Potenzen addieren und subtrahieren kann lernt ihr hier. Dies zeigen wir euch:
- Eine Erklärung wie man Potenzen addieren und subtrahieren kann.
- Viele Beispiele zum Rechnen mit Potenzen.
- Aufgaben / Übungen damit ihr dies selbst üben könnt.
- Videos zum Umgang mit Potenzen.
- Ein Frage- und Antwortbereich zur Addition und Subtraktion von Potenzen.
Hilfreich für das Verständnis dieses Artikels ist es, wenn ihr bereits wisst was eine Potenz ist und was eine Variable ist. Wem dies noch nicht klar ist sieht bitte in Potenzen Grundlagen und Variablen. Alle anderen können gerne gleich weiterlesen.
Erklärung Potenzen Addition und Subtraktion
Es gibt zwei Bereiche die man sich bei der Addition und Subtraktion von Potenzen ansehen kann. Beim ersten Bereich geht es darum Terme zusammenzufassen oder wieder zu trennen. Der zweite Bereich ist ein Potenzgesetz.
Man kann Potenzen addieren oder subtrahieren wenn die Basis und der Exponent gleich sein. Wer mit diesen Begriffen noch nichts anfangen kann, dem hilft diese kleine Beschreibung sicherlich:

Wenn also die große Zahl unten (Basis) und die kleine Zahl oben (Exponent) gleich sind, dann darf man zusammenfassen.
Beispiele: Addition von Potenzen
Zwei Beispiele zum Addieren von Potenzen. Im oberen Beispiel ist die Basis x und der Exponent 2. Die x2 kommen zweimal vor, daher haben wir im Ergebnis 2x2. Im unteren Beispiel ist die Basis ebenfalls x, die Hochzahl ist jedoch 3. Auch hier fassen wir zusammen und erhalten 5x3.

Beispiele: Subtraktion von Potenzen
Zwischen den Termen muss nicht immer ein Pluszeichen stehen, sondern es kann auch ein Minuszeichen vorhanden sein. Die Subtraktion von Potenzen läuft genauso ab. Hier müssen ebenfalls Basis und Exponent gleich sein. Zwei Beispiele verdeutlichen dies:

Die allgemeinen Regeln zur Addition und Subtraktion von Potenzen kann man mit diesen beiden Gleichungen ausdrücken:

Potenzgesetz mit Addition:
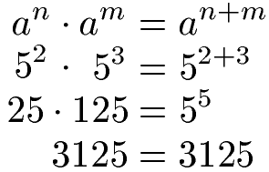
Es gibt noch ein Potenzgesetz bei dem eine Addition durchgeführt wird. Wir multiplizieren dabei zwei Potenzen mit gleicher Basis. In diesem Fall werden die beiden Potenzen addiert und die Basis beibehalten. Die allgemeine Potenzregel sieht so aus:

Zum besseren Verständnis setzen wir ein paar Zahlen ein. Dabei sei a = 5, n = 2 und m = 3. Dann würde die Berechnung so aussehen.

Anzeige:
Anzeigen:
Beispiele Potenzen Addition und Subtraktion
In diesem Abschnitt sollen noch einige Beispiele zur Addition und Subtraktion vorgerechnet werden, so wie diese in der Schule oft als Aufgabe verwendet werden.
Beispiel 1:
Fasse die folgenden Potenzen zusammen, sofern dies möglich ist.

Lösung:
Zunächst die Lösungen der Aufgaben, im Anschluss werden diese noch erklärt.

- Die erste Zeile können wir ganz einfach zusammenfassen, da wir bei beiden Termen ein x als Basis haben und eine 3 als Exponent.
- Die zweite Zeile können wir nicht zusammenfassen, da wir verschiedene Basen haben (einmal a und einmal a2).
- Die dritte Zeile können wir teilweise zusammenfassen. Wir haben zweimal die Basis x mit jeweils dem Exponenten 1 (wobei man diese nicht hinschreibt).
- Die letzte Zeile kann man zum Teil zusammenfassen. Bei den ersten beiden Termen haben wir ab jeweils als Basis mit Exponenten 1. Dies können wir zusammenfassen. Die 8a bleiben stehen.
Beispiel 2:
Fasse die folgende Potenz zusammen und berechne diese.

Lösung:
Die Basis ist gleich, daher können wir einfach die Exponenten addieren und ausrechnen.

Potenzen Addition / Subtraktion Aufgaben
Anzeigen:Video Potenzrechnung
Beispiele zum Rechnen mit Potenzen
Was sind eigentlich Potenzen und wie kann ich mit diesen rechnen? Die Addition und Subtraktion von Zahlen zeige ich dir dabei im nächsten Video. Entsprechende Beispiele werden vorgerechnet und erklärt.
Nächstes Video »
Fragen mit Antworten zu Potenzen Addition und Subtraktion
In diesem Abschnitt geht es noch um typische Fragen mit Antworten zur Addition und Subtraktion von Potenzen.
F: Welche Themen zur Potenzrechnung sollte ich lernen?
A: Im besten Fall seht euch diese Themen an:
Neue Artikel
- Raute ▷ Formeln, Eigenschaften und Beispiele
- Sachaufgaben Klasse 5 Mathematik Aufgaben
- Sachaufgaben Mathe: Klasse 5
- Worte in Zahlen Aufgaben (Übungen)
- Worte in Zahlen umwandeln
- Teilerfremdheit (Mathematik)
- Hohlmaße umrechnen
- Hundertertafel Grundschule
- Quersumme berechnen und Teilbarkeit
- Quadratzahlen berechnen (mit Liste)
