Potenzen mit Klammern
Geschrieben von: Dennis RudolphSonntag, 08. April 2018 um 16:32 Uhr
Wie man mit einer Mischung aus Potenzen und Klammern umgeht lernt ihr hier. Dies zeigen wir euch:
- Eine Erklärung wie man mit Potenzen in Klammern und Klammern die potenziert werden umgeht.
- Viele Beispiele zum Rechnen mit Potenzen und Klammern.
- Aufgaben / Übungen damit ihr dies selbst üben könnt.
- Videos zum Umgang mit der Potenzrechnung.
- Ein Frage- und Antwortbereich zu Klammern und Potenzen.
Zwei Dinge noch am Anfang: Wer noch nicht weiß was Potenzen und Variablen sind kann dies gerne noch nachlesen unter Potenzen Grundlagen und Variablen. Außerdem suchen manche Leser vermutlich beim Umgang mit Potenzen und Klammern nach den Binomischen Formeln. Wer danach sucht schaut bitte direkt unter Binomische Formeln nach.
Erklärung Potenzen und Klammern
Es gibt mehrere Möglichkeiten wie Potenzen und Klammern zusammenhängen. So können Klammern potenziert werden oder auch in Klammern können Potenzen vorkommen. Wir sehen uns beide Fälle einmal an und starten dabei mit potenzierten Klammern.
Klammern mit Potenz:
Starten wir mit einer Klammer, die quadriert werden soll. Dies bedeutet, dass wir eine Klammer haben und diese insgesamt hoch 2 genommen wird.
Beispiel 1:
Berechnet werden soll (3x + a)2. Wie lautet das Ergebnis?
Lösung:
Eine Klammer hoch 2 bedeutet, dass die Klammer mit sich selbst multipliziert werden muss. Um die Klammern auszumultiplizieren, muss man jeden Term der ersten Klammer mit jedem Term der zweiten Klammer multiplizieren. Um dies noch deutlicher darzustellen habe ich die jeweiligen Terme farblich unterstrichen. Im Anschluss wird noch Addition von 3ax + 3ax zusammengefasst. Wichtig: Wer noch Probleme mit der Zusammenfassung von Termen hat sieht bitte in Terme vereinfachen.

Beispiel 2:
Im zweiten Beispiel soll der Umgang mit einem negativen Vorzeichen gezeigt werden. Berechnet werden soll (-6b)3. Wie lautet das Ergebnis?
Lösung:
Zunächst schreiben wir die Potenzen aus, sprich die (-6b) werden drei Mal ausgeschrieben und diese werden miteinander multipliziert. Nun werden die ersten beiden Klammern miteinander multipliziert. Da beide Terme ein negatives Vorzeichen haben wird daraus ein Plus. Aus (-6b) · (-6b) wird somit +36b2. Im Anschluss haben wir eine Multiplikation bei der nur ein negatives Vorzeichen vorhanden ist, daher hat das Ergebnis ebenfalls ein negatives Vorzeichen.

Anzeige:
Anzeigen:
Beispiele Potenzen in Klammern
In diesem Abschnitt sollen weitere Beispiele zu Potenzen und Klammern vorgerechnet werden. Dabei sind die Potenzen nun in den Klammern vorhanden.
Beispiel 3:
In diesem Beispiel haben wir eine Klammer mit einer Potenz darin. Berechnet werden soll (3x2 + 4x + 7x2) · y. Wie lautet das Ergebnis?
Lösung:
Zunächst fassen wir die Potenzen in der Klammer zusammen. Wir haben dabei zwei Terme mit einem x2 dabei. Diese können wir zusammenfassen. Danach multiplizieren wir beide Terme in der Klammer mit dem y dahinter.

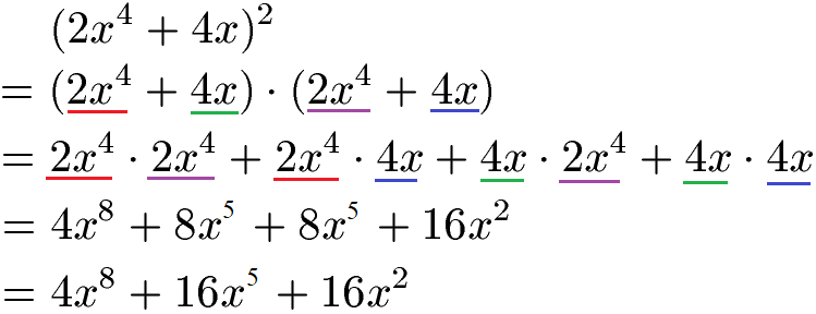
Beispiel 4:
Im vierten Beispiel haben wir eine Potenz in der Klammer und die Klammer wieder ebenfalls mit einer Potenz quadriert. Berechnet werden soll die Aufgabe (2x4 + 4x)2. Wie lautet das Ergebnis?
Lösung:
- In der zweiten Zeile schreiben wir zunächst die Potenz der Klammer aus.
- In der dritten Zeile beginnen wir auszumultiplizieren. Dabei wird jeder Term der ersten Klammer mit jedem Term der zweiten Klammer multipliziert. Die Farben unterhalb der Terme vereinfachen hoffentlich das Verständnis.
- Für die vierte Zeile wurde nun zusammengefasst. Die Zahlen vor den Variablen werden miteinander multipliziert und die Potenzen werden addiert.
- 2x4 · 2x4 = 4x8
- 2x4 · 4x = 8x5 und dies gibt es zwei Mal.
- 4x · 4x = 16x2
- Zuletzt können wir noch die beiden 8x4 zusammenfassen zu 16x4.

Aufgaben / Übungen Klammer und Potenzen
Anzeigen:Potenzen Videos
Erklärungen zu Potenzen
Eine Einführung in das Gebiet der Potenzen wird im nächsten Video gezeigt:
- Was sind Potenzen und wie schreibt man diese aus?
- Welche Potenzgesetze gibt es?
- Wie rechnet man Aufgaben mit Zahlen aus?
- Wie geht man mit negativen Potenzen und Kommazahlen um?
Nächstes Video »
Fragen mit Antworten Klammern und Potenzen
In diesem Abschnitt geht es noch um typische Fragen mit Antworten zu Klammern und Potenzen.
F: Welche Themen zur Potenzrechnung sollte ich lernen?
A: Im besten Fall seht euch diese Themen an:
Neue Artikel
- Raute ▷ Formeln, Eigenschaften und Beispiele
- Sachaufgaben Klasse 5 Mathematik Aufgaben
- Sachaufgaben Mathe: Klasse 5
- Worte in Zahlen Aufgaben (Übungen)
- Worte in Zahlen umwandeln
- Teilerfremdheit (Mathematik)
- Hohlmaße umrechnen
- Hundertertafel Grundschule
- Quersumme berechnen und Teilbarkeit
- Quadratzahlen berechnen (mit Liste)
