Logarithmusgleichungen lösen
Geschrieben von: Dennis RudolphMontag, 08. April 2019 um 15:28 Uhr
Wie man Logarithmusgleichungen löst, lernt ihr hier. Dies sehen wir uns an:
- Eine Erklärung, wie man Gleichungen mit Logarithmus löst.
- Beispiele für das Lösen von Logarithmusgleichungen.
- Aufgaben / Übungen um das Thema zu üben.
- Ein Video zu Logarithmusgleichungen.
- Ein Frage- und Antwortbereich zu diesem Gebiet.
Tipp: Es hilft beim Lösen von Logarithmusgleichungen, wenn ihr bereits die Logarithmus Grundlagen kennt und die Logarithmusgesetze. Wer dies schon kennt kann natürlich gleich mit den Gleichungen zum Logarithmus loslegen.
Logarithmusgleichungen Einführung
Starten wir zunächst einmal mit etwas einfacheren Aufgaben zu Logarithmusgleichungen. Wichtig dabei ist, dass man daran denkt, den Definitionsbereich zu berechnen und diesen bei der Lösung beachtet.
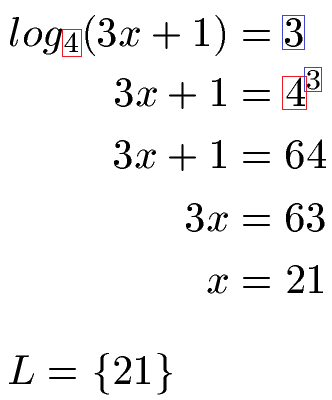
Beispiel 1:
Löse die Logarithmusgleichung und bestimme den Definitionsbereich.

Lösung:
Zunächst müssen wir den Definitionsbereich berechnen. Da der Logarithmus nicht von einer negativen Zahl oder 0 berechnet werden darf muss der Inhalt der Klammer größer als 0 sein. Wir setzen daher 3x + 1 > 0 und berechnen x > -0,3333... Das Ergebnis schreiben wir in die Definitionsmenge.

Jetzt müssen wir die Lösungsmenge berechnen. Die Umkehrung des Logarithmus ist die Potenz. Wir beseitigen log4 auf der linken Seite und bilden eine Potenz mit 4 als Basis auf der rechten Seite. Die Potenz berechnen wir und lösen nach x = 21 auf. Da x größer ist als -1/3 haben wir unsere Lösungsmenge gefunden.

Anzeige:
Anzeigen:
Kompliziertere Logarithmusgleichungen
In diesem Abschnitt sehen wir uns zwei weitere Beispiele zu Gleichungen mit Logarithmen an.
Beispiel 2:
Ermittle den Definitionsbereich und die Lösungsmenge der nächsten Gleichung.

Lösung:
Starten wir erneut mit dem Definitionsbereich. Wir haben dabei zwei Logarithmen mit einer Variablen. Beide müssen größer als Null sein. Die strengere Bedingung ist dabei x > 0,75. Daher kommt dies in die Definitionsmenge.

Fehlt uns noch die Berechnung der Lösungsmenge. Dazu brauchen wir eines der Logarithmengesetze. Mit diesem Logarithmusgesetz können wir aus der Differenz der beiden Logarithmen einen Bruch machen. Beachtet die farbigen Markierung in den ersten drei Zeilen. Danach müssen wir den Logarithmus loswerden. Dieser ist hier ein natürlicher Logarithmus, erkennbar am ln. Die Umkehrung davon ist die E-Funktion. Daher verwenden wir das e auf beiden Seiten der Gleichung. Wir werden damit das ln los. Im Anschluss lösen wir nach x auf. Da x = 1,5 ist und dies größer als als die Angabe in der Definitionsmenge ist, haben wir die Lösungsmenge gefunden.

Beispiel 3:
Zeit für eine noch kompliziertere Logarithmusgleichung. Dabei haben wir auf beiden Seiten der Gleichung einen Logarithmus. Für die nächste Aufgabe soll der Definitionsbereich und die Lösung berechnet werden.

Lösung:
Wir starten wieder mit dem Definitionsbereich. Dazu müssen beide Klammern größer Null sein. Wir schreiben nur x > 3 in die Definitionsmenge, da dies x > 0,5 mit einschließt.

Wie kann man die Gleichung jetzt lösen? Wir subtrahieren 3 auf beiden Seiten und erhalten daher nur eine 2 als Zahl links in der Gleichung. Beide Logarithmen bringen wir auf die rechte Seite der Gleichung. Im Anschluss wenden wir ein Logarithmengesetz an um aus einer Differenz einen Bruch zu machen (Farben beachten). Die Umkehrung von log2 ist eine Potenz mit Basis 2. Im Anschluss wird einfach nach x = -1 aufgelöst. Es gibt jedoch keine Lösung, dann laut Definitionsmenge muss x > 3 sein.

Aufgaben / Übungen Logarithmusgleichungen
Anzeigen:Video Logarithmusgleichungen
Beispiele und Erklärungen
Im nächsten Video geht es um diese Themen:
- Was ist eine Logarithmusgleichung?
- Wie löst man solche Gleichungen?
- Worauf muss man achten?
- Einige Beispiele werden vorgerechnet.
Nächstes Video »
Fragen mit Antworten Logarithmusgleichungen
In diesem Abschnitt sehen wir uns Fragen mit Antworten zu Logarithmusgleichungen an.
F: Welche Arten von Logarithmen gibt es?
A: Drei spezielle Arten beim Logarithmus sollte man kennen:
- Basis 2: Der Logarithmus mit der Basis 2 wird binärer Logarithmus genannt. Abkürzung lb oder ld.
- Basis 10: Der Logarithmus mit der Basis 10 wird dekadischer Logarithmus genannt. Abkürzung lg.
- Basis e: Der Logarithmus mit der Basis e wird natürlicher Logarithmus genannt. Abkürzung ln.
F: Welche Themen zum Logarithmus sollte ich mir ansehen?
- Logarithmus Grundlagen
- Logarithmengesetze / Regeln Logarithmus
- Logarithmusgleichungen
- Logarithmus Formeln
- Logarithmus Basiswechsel
- Logarithmusfunktion
- Natürlicher Logarithmus
- ln-Funktion, Regeln und Gesetze
Wer mag kann sich auch noch mit Exponentialfunktionen und Exponentialgleichungen befassen.
Neue Artikel
- Raute ▷ Formeln, Eigenschaften und Beispiele
- Sachaufgaben Klasse 5 Mathematik Aufgaben
- Sachaufgaben Mathe: Klasse 5
- Worte in Zahlen Aufgaben (Übungen)
- Worte in Zahlen umwandeln
- Teilerfremdheit (Mathematik)
- Hohlmaße umrechnen
- Hundertertafel Grundschule
- Quersumme berechnen und Teilbarkeit
- Quadratzahlen berechnen (mit Liste)
