ln-Funktion, Gesetze und Regeln
Geschrieben von: Dennis RudolphMontag, 08. April 2019 um 15:31 Uhr
Mit der ln-Funktion und deren Gesetze / Regeln befassen wir uns hier. Dies sehen wir uns an:
- Eine Erklärung, was man unter ln (natürlicher Logarithmus) versteht.
- Beispiele und Rechenregeln zum natürlichen Logarithmus.
- Aufgaben / Übungen um das Gebiet selbst zu üben.
- Ein Video zum Logarithmus.
- Ein Frage- und Antwortbereich zu diesem Thema.
Tipp: Der natürliche Logarithmus - kurz ln - wird hier behandelt. Um die folgenden Inhalte zu verstehen, hilft es, die Logarithmus Grundlagen und die Eulersche Zahl zu kennen.
ln-Funktion Erklärung und Regeln
Ein Logarithmus kann verschiedene Basen haben wie 2, 4 oder 10. Zum Beispiel log28, log410 oder log10100. Die Basis kann jedoch auch "e" sein, die Eulersche Zahl. Zur Erinnerung:

Der natürliche Logarithmus ist ein Logarithmus zur Basis e:

Man kan dies abkürzen. So wird aus logex die Kurzform ln x.

Wir halten fest:
Eine natürliche Logarithmusfunktion ist eine Funktion, welche die Eulersche Zahl "e" als Basis hat. Die Abkürzung für den natürlichen Logarithmus lautet ln.
Für das Rechnen mit ln gibt es eine Reihe an Regeln / Gesetze, mit welchem man ln-Ausdrücke vereinfachen kann.

Im nächsten Abschnitt sehen wir uns dazu Beispiele an.
Anzeige:
Anzeigen:
ln Rechengesetze Beispiele
Zwei Beispiele sollen den Einsatz der ln-Regeln verdeutlichen.
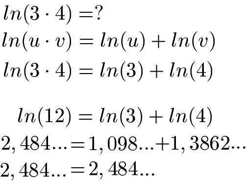
Beispiel 1:
Wie lautet das Ergebnis von ln(3 · 4)?

Lösung:
Wir setzen die ln-Regel ein, welche aus einem Produkt eine Summe macht. Die ln-Teile berechnen wir mit dem Taschenrechner.

Beispiel 2:
Die folgende Potenz soll berechnet werden.

Lösung:
Wir verwenden die ln-Regel für Potenzen. Mit dieser Formen wir die Gleichung in ein Produkt um. Mit dem Taschenrechner berechnen wir die einzelnen lns.

Aufgaben / Übungen ln
Anzeigen:Video Logarithmus / Gesetze
Regeln und Beispiele
Dies sehen wir uns im nächsten Video an:
- Wofür man die Regeln zum Logarithmus und natürlichen Logarithmus benötigt.
- Die vier Logarithmengesetze werden vorgerechnet.
- Aufgaben / Beispiele mit Zahlen.
- Erklärungen zum Gebiet.
Nächstes Video »
Fragen mit Antworten ln
In diesem Abschnitt sehen wir uns typische Fragen mit Antworten zur ln-Funktion an.
F: Wo findet der ln noch Anwendung?
A: In der Schule werden Logarithmus- und Exponentialfunktionen in der Oberstufe im Zusammenhang mit der Integral- und Differentialrechnung behandelt. Es werden dazu entsprechende Gesetze erläutert und es geht darum, bei solchen Funktionen die Steigung oder den Flächeninhalt unter der Funktion zu berechnen.
F: Wann wird das Thema in der Schule behandelt?
A: Die ln-Funktion wird meistens ab der 10. Klasse in der Schule behandelt. Im Zuge von Ableitung und Integration wird die Logarithmusfunktion in der Oberstufe erneut behandelt.
F: Welche Themen rund um den ln sollte ich mir noch ansehen?
A: Werft einen Blick auf diese Themen:
Neue Artikel
- Raute ▷ Formeln, Eigenschaften und Beispiele
- Sachaufgaben Klasse 5 Mathematik Aufgaben
- Sachaufgaben Mathe: Klasse 5
- Worte in Zahlen Aufgaben (Übungen)
- Worte in Zahlen umwandeln
- Teilerfremdheit (Mathematik)
- Hohlmaße umrechnen
- Hundertertafel Grundschule
- Quersumme berechnen und Teilbarkeit
- Quadratzahlen berechnen (mit Liste)
