Gleichungen / Gleichungssysteme zeichnerisch lösen
Geschrieben von: Dennis RudolphMontag, 29. Oktober 2018 um 12:51 Uhr
Wie kann man Gleichungen zeichnerisch (grafisch) lösen? Genau dies sehen wir uns in den nächsten Abschnitten an. Folgende Inhalte werden angeboten:
- Eine Erklärung, was das zeichnerische Lösen von Gleichungen bedeutet.
- Beispiele zum grafischen Lösen von Gleichungssystemen.
- Übungen damit ihr dies alles selbst üben könnt.
- Ein Video zum Lösen von Gleichungen.
- Ein Frage- und Antwortbereich zu diesem Thema.
Tipp: Wir sehen uns hier an wie man Gleichungen zeichnerisch / grafisch lösen kann. Wer die folgenden Inhalte nicht versteht, der sieht bitte erst einmal in die Artikel Wertetabelle aufstellen und Gleichungssysteme rein.
Erklärung: Gleichungen zeichnerisch lösen
In der Mathematik hat man manchmal nicht nur eine Gleichung sondern, sondern zwei Gleichungen und mehr. Dies bezeichnet man auch als Gleichungssystem. Man kann solche Gleichungssysteme sowohl rechnerisch als auch zeichnerisch lösen.
Um Gleichungen bzw. Gleichungssysteme grafisch zu lösen, zeichnet man diese in ein Koordinatensystem. Dabei entsteht entweder ein Schnittpunkt mit allen Gleichungen, welcher die Lösung für alle Gleichungen darstellt oder es gibt keinen gemeinsamen Schnittpunkt und damit keine Lösung für alle Gleichungen.
Die nächste Grafik zeigt den Schnittpunkt zweier Gleichungen. Diese beiden Gleichungen haben damit eine Lösung.

Der nächste Fall zeigt zwei Gleichungen / Gleichungssysteme ohne Lösung (da kein Schnittpunkt).

Anzeige:
Anzeigen:
Beispiel: Gleichungssystem grafisch lösen
In diesem Abschnitt sehen wir uns ein Beispiel an, wie man zwei Gleichungen (Gleichungssystem) grafisch lösen kann.
Beispiel 1: Gleichungssystem grafisch lösen
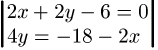
Wir haben die beiden folgenden Gleichungen mit jeweils x und y. Löse diese zeichnerisch.

Lösung:
Zunächst bringen wir beide Gleichungen auf die "gewohnte" Form, sprich wir lösen beide Gleichungen nach y auf.

Wir setzen in beide Gleichungen jeweils x = 0 und x = 1 ein und berechnen y. Dies ist ausreichend, da es sich jeweils um eine lineare Funktion handelt.

Kennen wir zwei Punkte der linearen Gleichung bzw. linearen Funktion können wir einfach die Punkte einzeichnen und verbinden und in beide Richtungen verlängern.
Der gemeinsame Schnittpunkt liegt damit bei x = 15 und y = -12.
Aufgaben / Übungen Gleichungen grafisch lösen
Anzeigen:Video Gleichung zeichnen
Zeichnen linearer Geraden
Um ein Gleichungssystem zeichnerisch lösen zu können, muss man einzelne Gleichungen zeichnen. Das nächste Video befasst sich mit dem Zeichnen von linearen Funktionen und Geraden. Folgende Themen werden behandelt:
- Was ist eine lineare Gleichung?
- Beispiele lineare Gleichung.
- Zeichnen einer linearen Gleichung.
Nächstes Video »
Fragen mit Antworten Gleichungssystem grafisch lösen
In diesem Abschnitt sehen wir uns typische Fragen mit Antworten zum zeichnerischen Lösen von Gleichungssystemen an.
F: Wann wird dieses Thema in der Schule behandelt?
A: Das Zeichnen von Funktionen / Gleichungen steht im Normalfall ab der 7. Klasse auf dem Plan. In manchen Fällen kommt es grundlegend schon einmal in der 6. Klasse vor. Das grafische Lösen ganzer Gleichungssysteme wird meistens jedoch erst ab der 9. Klasse behandelt.
F: Kann man die Aufgaben noch anders lösen?
A: Natürlich. Neben der zeichnerischen Lösung gibt es auch rechnerische Lösungen. Diese findet ihr zum Beispiel unter lineare Gleichungssysteme lösen.
F: Welche Gebiete sollte ich mir noch ansehen?
A: Folgende Themen rund um Gleichungen und Funktionen sind inzwischen verfügbar:
- Gleichung auflösen / umstellen
- Probe durchführen: Zahl einsetzen in Gleichungen / Klammern
- Gleichungen mit Klammern
- Bruchgleichungen / Brüche mit Gleichungen
- Ungleichungen lösen
- Lineare Gleichungen lösen
- Gleichungen lösen
- Ausklammern / Faktorisieren
- Funktionen: Bedeutung und Typen
- Wertetabelle: Aufstellen, Graph und Funktionen
Neue Artikel
- Raute ▷ Formeln, Eigenschaften und Beispiele
- Sachaufgaben Klasse 5 Mathematik Aufgaben
- Sachaufgaben Mathe: Klasse 5
- Worte in Zahlen Aufgaben (Übungen)
- Worte in Zahlen umwandeln
- Teilerfremdheit (Mathematik)
- Hohlmaße umrechnen
- Hundertertafel Grundschule
- Quersumme berechnen und Teilbarkeit
- Quadratzahlen berechnen (mit Liste)
