Normalform Mathe
Geschrieben von: Dennis RudolphSonntag, 06. Januar 2019 um 14:57 Uhr
Mit der Normalform von Funktionen und Gleichungen befassen wir uns hier. Folgende Inhalte werden angeboten:
- Eine Definition / Erklärung, wie die Normalform aussieht.
- Beispiele wie man auf die Normalform umformt.
- Übungen damit ihr dies selbst üben könnt.
- Ein Video zu quadratischen Funktionen / PQ-Formel.
- Ein Frage- und Antwortbereich zu diesem Thema.
Tipp: Wir sehen uns hier verschiedene Arten von Funktion bzw. Gleichungen an. Dies könnt ihr auch einzeln nachlesen unter lineare Gleichungen, quadratische Gleichung oder kubische Gleichungen (besprochen unter Polynomdivision). Ansonsten werft einfach einen Blick auf die weiteren Inhalte.
Normalform lineare Gleichung / Funktion
Was versteht man unter der Normalform?
Unter der Normalform versteht man eine spezielle Art von Darstellung von Funktionen. So gibt es die Normalform für lineare Gleichungen, quadratische Gleichungen sowie Gleichungen mit höherer Potenz.
Starten wir mit der Normalform für lineare Gleichungen bzw. lineare Funktionen.
Normalform lineare Gleichung / lineare Funktion:

Beispiel Normalform lineare Gleichung:
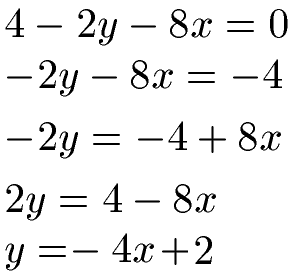
Wir haben eine lineare Gleichung in der Form 4 - 2y - 8x = 0. Wie lautet diese Gleichung in Normalform dargestellt?
Lösung:
Wir führen eine Äquivalenzumformung für die Gleichung durch. Zunächst bringen wir die 4 auf die andere Seite der Gleichung, im Anschluss die -8x. Wie multiplizieren beide Seiten der Gleichung mit -1 und teilen noch durch 2. Dadurch erhalten wir die Normalform der linearen Gleichung mit y = -4x + 2.

Im nächsten Abschnitt sehen wir uns die Normalformen für quadratische Funktionen und kubische Funktionen an.
Anzeige:
Anzeigen:
Normalform quadratische und kubische Funktion
Sehen wir uns als nächstes die Normalform für eine quadratische Gleichung an.
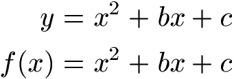
Normalform quadratische Gleichung / quadratische Funktion:

Beispiel Normalform quadratische Gleichung:
Wir haben eine quadratische Funktion, bei der eine Linearfaktorzerlegung durchgeführt wurde. Die Funktion lautet f(x) = 3(x + 1)(x - 2). Wie lautet diese quadratische Gleichung in Normalform dargestellt?
Lösung:
Wir multiplizieren zunächst die beiden Klammern aus. Jedes Element der ersten Klammer wird mit jedem Element der zweiten Klammer multipliziert. Im Anschluss wird die verbleibende Klammer mit der 3 davor multipliziert.

Normalform kubische Gleichung / kubische Funktion:

Beispiel Normalform kubische Gleichung:
Wir haben die kubische Funktion f(x) = (x + 2)(x - 1)(x + 3). Dabei handelt es sich um eine kubische Funktion 3. Grades in Linearfaktorzerlegung. Wie lautet diese Funktion in Normalform?
Lösung:
Wir multiplizieren zunächst die beiden ersten Klammern miteinander. Das Ergebnis kommt wieder in eine Klammer. Die neue große Klammer wird mit (x + 3) multipliziert und wir erhalten die Normalform der kubischen Funktion.

Normalform Aufgaben / Übungen
Anzeigen:Video quadratische Funktionen
Erklärung und Beispiele
Das nächste Video dreht sich um quadratische Gleichungen bzw. Funktionen und deren Lösung:
- Das Beispiel x² + x -2 = 0 wird vorgestellt.
- Diese Aufgabe wird mit der PQ-Formel gelöst.
- Das Beispiel wird Schritt für Schritt vorgerechnet und erklärt.
- Dieses Video stammt von Youtube.com.
Verfolgt das Beispiel aufmerksam und löst es gegebenenfalls noch einmal auf dem Papier selbst.
Fragen mit Antworten Normalform
In diesem Abschnitt sehen wir uns typische Fragen mit Antworten zur Normalform an.
F: Wann wird die Normalform in der Schule behandelt?
A: Die Normalform von Gleichungen bzw. Funktionen steht meistens in der 9. Klasse oder spätestens in der 10. Klasse in Mathematik auf dem Plan. Auch in der Oberstufe wird die Normalform noch einmal besprochen. Dabei geht es meistens um Umwandlung in der Vektorrechnung / Analytischen Geometrie.
F: Welche Themen sind im Zusammenhang mit Funktionen und Gleichungen noch interessant?
A: Die Normalform wird im Zusammenhang mit verschiedenen Arten von Gleichungen und Funktionen behandelt. Aus diesem Grund folgt hier gleich noch eine Liste an Themen dazu. Die Normalform wird auch in der Vektorrechnung / Analytischen Geometrie verwendet. Sobald diese Inhalte bei uns verfügbar sind werden sie ebenfalls hier verlinkt.
Neue Artikel
- Raute ▷ Formeln, Eigenschaften und Beispiele
- Sachaufgaben Klasse 5 Mathematik Aufgaben
- Sachaufgaben Mathe: Klasse 5
- Worte in Zahlen Aufgaben (Übungen)
- Worte in Zahlen umwandeln
- Teilerfremdheit (Mathematik)
- Hohlmaße umrechnen
- Hundertertafel Grundschule
- Quersumme berechnen und Teilbarkeit
- Quadratzahlen berechnen (mit Liste)
