Wurzelgesetze / Wurzelregeln
Geschrieben von: Dennis RudolphSamstag, 25. August 2018 um 19:29 Uhr
Wie die Wurzelgesetze (Wurzelregeln) lauten und wie man sie anwendet, lernt ihr hier. Zum Inhalt:
- Eine Erklärung, welche Gesetze zu Wurzeln es gibt.
- Beispiele wie man die Wurzelgesetze bei Aufgaben anwendet.
- Aufgaben / Übungen um dies selbst zu üben.
- Ein Video diesem Thema.
- Ein Frage- und Antwortbereich zu diesem Gebiet.
Tipp: Ihr solltet bereits wissen, was eine Wurzel in der Mathematik ist. Wer davon noch keine Ahnung hat, sieht bitte in Wurzel ziehen rein.
Erklärung Wurzelgesetze / Regeln
Wie vereinfacht man Wurzeln? Wie formt man Wurzeln um? Dazu verwendet man die Wurzelgesetze. Beginnen wir damit die Wurzelgesetze bei den Grundrechenarten einzusetzen.
Wurzelgesetze Multiplikation:
Sehr häufig benötigt man das Wurzelgesetz für die Multiplikation. Daher starten wir hier mit diesem. Um das Gesetz anwenden zu dürfen, muss der Wurzelexponent (n) gleich sein. In diesem Fall kann man die beiden Zahlen unter der Wurzel beibehalten (mit Malzeichen) und unter eine Wurzel mit dem selben Wurzelexponenten schreiben.

Beispiel: Gesetz Wurzel bei Multiplikation
Wir haben ein Multiplikationszeichen zwischen zwei Wurzeln. Beides sind Quadratwurzel, daher ist n = 2 bei beiden Wurzeln. Unter der Wurzel haben wir eine 4 und eine 6. Diese fassen wir unter einer Wurzel zusammen und erhalten damit 24. Ausgerechnet kommen wir auf etwa 4,9 als Ergebnis.

Wurzelgesetze Division:
Das Wurzelgesetz zur Division darf eingesetzt werden, wenn der Wurzelexponent n bei bei beiden Wurzeln gleich ist. In diesem Fall kann man daraus eine Wurzel machen:

Beispiel: Wurzelregel Division
Zwei Kubikwurzeln werden dividiert. Dies tun wir, indem wir diese Radikanten unter eine Wurzel schreiben und danach ausrechnen.

Anzeige:
Anzeigen:
Wurzelregeln Erklärung und Beispiele
Neben den Wurzelregeln für Multiplikation und Division gibt es auch für die Addition und Subtraktion noch Gesetze. Außerdem können Wurzeln potenziert werden und es gibt eine Wurzel unter der Wurzel.
Wurzelregel Addition
Machen wir weiter mit dem Wurzelgesetz für die Addition von zwei Wurzeln. Dieses darf verwendet werden, wenn der Wurzelexponent (n) und der Radikand (x) gleich sind.

Beispiel: Wurzelgesetz Addition
Sehen wir uns ein Beispiel für dieses Gesetz an. Die Zahl unter der Wurzel ist gleich und es ist jeweils eine Quadratwurzel (sieht man an n = 2). Vor den Wurzeln haben wir eine 3 bzw. 6 stehen und unter der Wurzel (Radikand) eine 4. Wir fassen die beiden Zahlen vor den Wurzeln mit einem + zusammen. Die Quadratwurzel aus 4 ist 2.

Wurzelregel Subtraktion
Fehlt uns noch das Wurzelgesetz für die Subtraktion von zwei Wurzeln. Dieses darf verwendet werden, wenn der Wurzelexponent (n) und der Radikand (x) gleich sind.

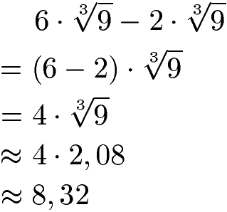
Beispiel: Wurzelgesetze Subtraktion
Sehen wir uns ein Beispiel zur Subtraktion von Wurzeln an. Wir haben dabei zwei Wurzeln mit einer 3 als Wurzelexponenten. Unter der Wurzel haben wir jeweils eine 9 stehen. Vor den Wurzeln eine 6 und eine 2. Wir Lösen diese Aufgabe mit dem entsprechenden Wurzelgesetz. Dazu subtrahieren wir vorne 6 -2 = 4. Die Kubikwurzel lösen wir mit dem Taschenrechner und erhalten etwa 2,09 als Ergebnis. Mit 2 multipliziert kommen wir auf 8,32.

Wurzelgesetz Potenz:
Neben den Grundrechenarten gibt es noch ein Wurzelgesetz zu Potenzen. Dabei gibt es eine Wurzel und diese zur Potenz. In diesem Fall kann man die Potenz m ebenfalls unter die Klammer schreiben, dort aber als Exponent.

Wurzelgesetz Potenz Beispiel:
Wir haben die Quadratwurzel aus 3 und dies alles mit einer Potenz (Exponent 4). Daraus wird 34 unter der Wurzel. Dies berechnen wir zu 81 und ziehen die Wurzel und erhalten 9.

Wurzelgesetz radizieren:
Eine Wurzel unter einer Wurzel wird mit dieser Wurzelregel behandelt. Dabei haben wir die m-te Wurzel aus der n-ten Wurzel von a. In diesem Fall kann man die beiden Wurzelexponenten miteinander multiplizieren.

Wurzelgesetz radizieren Beispiel:
In diesem Beispiel ziehen wir die Quadratwurzel aus der vierten Wurzel aus 12. Dazu multiplizieren wir zunächst 2 · 4 = 8. Mit dem Taschenrechner berechnen wir die achte Wurzel aus 12 und erhalten ungefähr 1,364.

Aufgaben / Übungen Wurzelregeln
Anzeigen:Wurzelgesetze Video
Regeln und Erklärungen
Das nächste Video befasst sich mit dem Ziehen der Wurzel und den Wurzelgesetzen:
- Dabei wird zunächst erklärt, was eine Wurzel ist und und wozu man diese braucht.
- Es werden einfache Beispiele zum Wurzel ziehen vorgestellt.
- Im Anschluss werden die Wurzelgesetze gezeigt.
- Außerdem werden Beispiele zum Anwenden der Wurzelregeln vorgerechnet.
Nächstes Video »
Fragen mit Antworten Wurzelgesetze und Wurzelregeln
In diesem Abschnitt sehen wir uns typische Fragen mit Antworten zu den Wurzelgesetzen an.
F: Wann wird dieses Thema in der Schule behandelt?
A: Das Rechnen mit Wurzeln wird meistens ab der 8. Klasse behandelt. Natürlich steht das Thema jedoch auch in den Folgeklassen auf dem Plan.
F: Welche Themen sollte ich mir als nächstes ansehen?
A: Als nächstes Thema solltet ihr euch die Regeln zu den Potenzen ansehen unter Potentgesetze. Im Anschluss empfehle ich noch einen Blick in diese Themen:
Neue Artikel
- Raute ▷ Formeln, Eigenschaften und Beispiele
- Sachaufgaben Klasse 5 Mathematik Aufgaben
- Sachaufgaben Mathe: Klasse 5
- Worte in Zahlen Aufgaben (Übungen)
- Worte in Zahlen umwandeln
- Teilerfremdheit (Mathematik)
- Hohlmaße umrechnen
- Hundertertafel Grundschule
- Quersumme berechnen und Teilbarkeit
- Quadratzahlen berechnen (mit Liste)
