Satz des Pythagoras: Beispiele, Formeln und Anwendung
Geschrieben von: Dennis RudolphSonntag, 11. November 2018 um 18:17 Uhr
Was bringt der Satz des Pythagoras? Wie wendet man diesen an? Genau dies sehen wir uns in den nächsten Abschnitten an. Folgende Inhalte werden angeboten:
- Eine Erklärung, was der Satz des Pythagoras ist und wie man diesen benutzt.
- Beispiele zum Lösen von Aufgaben mit dem Satz des Pythagoras.
- Übungen damit ihr dies alles selbst üben könnt.
- Mehrere Videos zum Einsetzen des Pythagoras-Satzes.
- Ein Frage- und Antwortbereich zu diesem Thema.
Tipp: Wenn ihr Probleme bekommt mit dem Verständnis der nächsten Inhalte, dann werft einen Blick auf diese Inhalte: Dreieck und Wurzel ziehen sowie Wurzelgesetze.
Satz des Pythagoras Erklärung
Der Satz des Pythagoras wird meistens ab der 9. Klasse in der Schule behandelt. Wichtig ist erst einmal zu verstehen, was der Satz des Pythagoras überhaupt bringt:
Ein Dreieck hat drei Seiten. Kennt man die Länge von zwei dieser Seiten, kann man damit die Länge der dritten Seite berechnen. Beachte: Das Dreieck muss einen rechten Winkel aufweisen.
Die nächste Grafik zeigt ein rechtwinkliges Dreieck, an welchem man den Satz des Pythagoras anwenden kann:

In der linken, unteren Ecke befindet sich ein rechter Winkel. An diesen Grenzen die Seiten a und b an, welche man als Katheten bezeichnet. Die längste Seite ist c und wird Hypotenuse genannt. Folgende Formel wird im Zusammenhang mit dem Satz des Pythagoras am häufigsten verwendet:

Wie kommt man auf die Formel hinter dem Satz des Pythagoras? Dies erfahrt ihr unter Satz des Pythagoras Herleitung / Beweis.
Bevor wir uns Beispiele zum Satz des Pythagoras ansehen, kommen wir noch einmal zu den Formeln. Zunächst sehen wir uns an, wie die Formel vom Satz des Pythagoras umgestellt aussehen. Daher erst einmal "alle Formeln" zum Satz des Pythagoras oder genauer gesagt die bekannte Formel umgestellt:
Satz des Pythagoras "alle Formeln" / umgestellt:

Anzeige:
Anzeigen:
Satz des Pythagoras: Beispielrechnung
In diesem Abschnitt sehen wir uns zunächst eine Beispielrechnung zum Satz des Pythagoras an. Im zweiten Beispiel gibt es noch eine Textaufgabe um den Satz des Pythagoras anzuwenden.
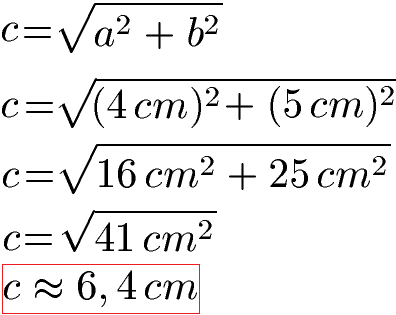
Beispiel 1: Hypotenuse berechnen
Wir haben ein rechtwinkliges Dreieck wie in der nächsten Grafik zu sehen ist. Berechne die Länge der Hypotenuse c.

Lösung:
Die Katheten sind 4 cm und 5 cm lang. Damit ist a = 4 cm und b = 5 cm. Daher nehmen wir die Formel umgestellt nach c und setzen diese beiden Angaben ein. Wir berechnen beide Quadrate und beachten dabei, dass sowohl die Zahlen als auch die Einheiten quadriert werden müssen. Wir erhalten durch cm · cm = cm2. Wir fassen unter der Wurzel zusammen und ziehen diese. Dabei muss beachtet werden, dass sowohl aus der Zahl als auch aus der Einheit die Wurzel gezogen werden muss. Die Wurzel aus cm2 ist damit wieder cm.

Für die Länge der Hypotenuse "c" erhalten wir etwa 6,4 cm.
Beispiel 2: Textaufgabe Satz des Pythagoras
Im zweiten Beispiel haben wir eine Textaufgabe (Sachaufgabe) zum Satz des Pythagoras. Die Aufgabe: Eine Leiter wird an eine Mauer gelehnt. Die Leiter ist dabei so lange wie die Mauer hoch. Die Leiter wird so angelehnt, dass sie 20 cm unter dem oberen Mauerrand entfernt anliegt. Der Fuß der Leiter steht 1,20 m von der Wand entfernt. Wie lang ist die Leiter?
Lösung:
Wir machen uns zunächst eine Skizze. Die Mauer wird in grau eingezeichnet und die Leiter in braun. Unten findet sich noch der Boden. Wir wissen, dass Leiter und Mauer gleich hoch sind. Wir wissen aber nicht wie hoch, daher schreiben wir an beide einfach ein x dran. Dem Aufgabentext entnehmen wir, dass die Leiter am Boden 1,20 Meter von der Mauer entfernt steht. Die Entfernung zwischen der Oberkante der Mauer und der Leiter beträgt 20 cm, also 0,2 m.

Wir können die Skizze vereinfachen zu einem Dreieck mit einem rechten Winkel. Der rechte Winkel befindet sich rechts unten. Die eine Kathete ist dabei 1,20 Meter lang. Die Hypotenuse ist die längste Seite und gegenüber dem rechten Winkel. Die Länge kennen wir nicht, daher nennen wir sie x. Die Kathete rechts ist 20 Zentimeter kürzer als die Mauer bzw. Leiter. Daher die Länge x minus 0,20 Meter.

Wir wenden darauf nun den Satz des Pythagoras an. Dazu nehmen wir die allgemeine Formel von weiter oben und passen diese an.

Das c ersetzen wir durch x. Das a ist 1,20 m und das b wird zu x - 0,2 m. Hinweis: Wir können a und b vertauschen, dies macht für das Ergebnis keinen Unterschied. Wir setzen dies in die Gleichung ein und lösen nach x auf.

Die Leiter ist 3,70 Meter lang.
Aufgaben / Übungen Satz des Pythagoras
Anzeigen:Video Satz des Pythagoras
Satz des Pythagoras - Video 1
In diesem Video geht es darum, wie man mit dem Satz des Pythagoras an einem rechtwinkligen Dreieck rechnen kann. Das Video bietet einen Mix an Beispielen mit Zahlen, um eine fehlende Seite zu berechnen. Es geht jedoch auch auf die Hintergründe des Satzes von Pythagoras ein und erklärt, wie man auf diesen kommt bzw. warum er überhaupt funktioniert. Bei den Beispielen werden die Längen zweier Seiten vorgegeben und die Dritte berechnet. Quelle: Youtube.com
Nächstes Video »
Fragen mit Antworten zum Satz des Pythagoras
In diesem Abschnitt sehen wir uns typische Fragen mit Antworten zum Satz des Pythagoras an.
F: Welche typischen Fehler werden beim Satz des Pythagoras oft gemacht?
A: Es fällt immer mal wieder auf, dass Schüler und Schülerinnen das Quadrieren oder Wurzel ziehen nur mit den Zahlen durchführen, aber nicht mit den Einheiten. Quadriert ihr Meter (m) erhaltet ihr Quadratmeter (m2). Und umgekehrt wird beim Wurzelziehen aus m2 wieder m. Außerdem müsst ihr darauf achten gleiche Einheiten einzusetzen. Ihr dürft nicht Meter und Zentimeter vermischen, sondern müsst entweder alles in Meter oder alles in Zentimeter einsetzen.
F: Kann man mit dem Satz des Pythagoras auch Winkel berechnen?
A: Die Formel hinter dem Satz des Pythagoras - also a2 + b2 = c2 - dient zum Berechnen von Längen von einem rechtwinkligen Dreieck. Winkeln kann man mit dieser Formel jedoch nicht berechnen. Wer in einem rechtwinkligen Dreieck Winkel berechnen möchte, greift dazu besser zu Sinus, Kosinus und Tangens.
F: Was sehe ich mir nun an?
A: Werft als nächstes einen Blick auf den Höhensatz und den Kathetensatz. Diese bauen direkt auf dem Satz des Pythagoras auf.
F: Welche Themen sollte ich mir als nächstes ansehen?
A: Werft noch einen Blick auf diese Gebiete:
- x-y-Koordinatensystem
- Begriffe Geometrie
- Quadrat
- Rechteck
- Dreieck
- Viereck
- Quader
- Figur drehen, verschieben und spiegeln
- Kreiszahl Pi
- Prisma Formeln: Volumen und Oberfläche
- Dreieck konstruieren (zeichnen)
- Kongruenzsatz SSS, SWS, WSW und SSW
- Satz des Thales
- Parallelogramm: Eigenschaften und Formeln
- Trapez: Eigenschaften und Formeln
- Strahlensatz
- Zentrische Streckung
- Fläche (Flächeninhalt) berechnen mit Formel
Neue Artikel
- Raute ▷ Formeln, Eigenschaften und Beispiele
- Sachaufgaben Klasse 5 Mathematik Aufgaben
- Sachaufgaben Mathe: Klasse 5
- Worte in Zahlen Aufgaben (Übungen)
- Worte in Zahlen umwandeln
- Teilerfremdheit (Mathematik)
- Hohlmaße umrechnen
- Hundertertafel Grundschule
- Quersumme berechnen und Teilbarkeit
- Quadratzahlen berechnen (mit Liste)
