Integralrechnung Mathematik
Geschrieben von: Dennis RudolphMittwoch, 04. März 2020 um 17:15 Uhr
Mit der Integralrechnung befassen wir uns hier. Wenn ihr bereits wisst welches Thema ihr zum Rechnen mit Integralen möchtet, dann findet ihr hier zunächst Liste an Links. Falls nicht gibt es darunter eine Einführung in die Integralrechnung, die Integrationsregeln und wie man mit Integralen Flächen berechnet.
Themen Integralrechnung:
- Integrieren Grundlagen
- Grundintegrale / Tabelle Integrale
- Stammfunktion berechnen
- Integrationsregeln
- Integrationsgrenzen
- Fläche unter Kurve / Funktion berechnen
In den nächsten Abschnitten sehen wir uns nun einige wichtige Themen der Integralrechnung an. Starten wir mit der Einführung in die Integralrechnung.
Einführung Integralrechnung
Vielleicht erinnert sich noch jemand an Ableitungen? Bei diesen ging es darum die Steigung von Funktionen zu berechnen. Das Gegenteil von Ableitung ist Integration. Bei der Integralrechnung geht es letztlich darum die Fläche unter einer Funktion zu berechnen. Zum Beispiel könnte man die grüne Fläche im nächsten Koordinatensystem berechnen.

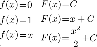
Um die Fläche zu berechnen, muss zunächst die Funktion integriert werden. Im einfachsten Fall findet man die Stammfunktion F(x) - das ist das was man erhält wenn man die Funktion integriert - in einer Tabelle. Ein kleiner Auszug:

Weitere Grund-und Stammintegrale findet ihr unter Tabelle Integrale. Ist die Funktion schwieriger, setzt man zum Integrieren verschiedene Integrationsregeln ein. Auf diese werfen wir erst einmal einen kurzen Blick.
Regeln Integralrechnung:
Potenzregel Integralrechnung: Eine Potenz wie die Funktion f(x) = x3 wird mit der Potenzregel integriert. Wie diese Integrationsegel funktioniert und weitere Beispiele findet ihr unter Potenzregel der Integration.

Faktorregel der Integration: Ein konstanter Faktor darf vor das Integralzeichen gezogen werden wie die 3 im nächsten Beispiel. Mehr dazu unter Faktorregel der Integration.

Summenregel Integration: Summen und auch Differenzen werden einzeln (gliedweise) integriert. Bei der nächsten Funktion mit f(x) = 3x + 2 ist dies der Fall. Die Summenregel mit Aufgaben besprechen wir unter Summenregel der Integration.

Produktintegration: Eine Gleichung / Funktion kann auch in Form eines Produktes vorliegen. Dabei sind sehr unterschiedliche Arten von Funktionen für die Integration möglich, wie man den Beispielen entnehmen kann. Integrieren kann man solche Aufgaben mit der Produktintegration / Partiellen Integration.

Integration durch Substitution: E-Funktionen, Brüche etc. müssen mit der Hilfe von Substitutionen gelöst werden. Diese Integrationsregel lernt ihr unter Integration durch Substitution.

Man bezeichnet dies manchmal auch als die "Regeln zum Aufleiten".
Anzeige:
Anzeigen:
Flächenberechnung Integralrechnung
Wenn ihr die Integrationsregeln kennt, habt ihr eine wichtige Voraussetzung dafür eine Flächenberechnung durchzuführen. Wenn ihr die Regeln noch nicht,kennt, solltet ihr diese erst einmal lernen!
Wendet man die Integrationsregeln bei Funktionen an kommt man von der Ausgangsfunktion f(x) auf die integrierte Funktion F(x). Dieses F(x) nennt man auch Stammfunktion. Einfach nur eine Funktion zu integrieren bezeichnet man auch als unbestimmtes Integral.
Fläche mit Integralen berechnen:
Die Flächenberechnung mit der Integralrechnung funktioniert mit dem bestimmten Integral. Nehmen wir dazu noch einmal das Beispiel von weiter oben. Wie kann man die grüne Fläche mit der Integralrechnung berechnen?

Lösung:
Zunächst brauchen wir die rot eingezeichnete Funktion. Das ist ein "gerader Strich", also eine lineare Funktion. Steigt x um 1 geht y um 2 nach oben. Außerdem geht die Funktion durch den Ursprung des Koodinatensystems. Daher ist die Funktion f(x) = 2x. Die grüne Fläche geht von x = 0 bis x = 2 (seht euch dies in der Grafik an). Das sind unsere Integrationsgrenzen und diese schreibt man unten und oben an das Integral dran. Daher müssen wir dies lösen:

Noch eine Anmerkung: Das dx bedeutet, dass nach der Variablen x integriert werden muss. Für unsere Aufgabe brauchen wir die Potenzregel der Integration. Diese Integrationsregel wenden wir erst einmal an und kommen von 2x auf x2. Die x2 schreiben wir diesmal in eckige Klammern und dahinter die Grenzen

Im nächsten Schritt müssen wir die Grenzen einsetzen. Zunächst setzen wir mit x = 2 die obere Integrationsgrenze ein. Aus x2 wird dadurch 22. Im nächsten Schritt setzen wir die untere Integrationsgrenze mit x = 0 ein. Aus x2 wird 02. Dazwischen setzen wir ein Minuszeichen.

Rechnen wir 22 - 02 aus erhalten wir eine 4 als Ergebnis. Dies ist der Flächeninhalt der grünen Fläche, daher schreibt man manchmal auch 4 FE. Das FE ist die Kurzform von Flächeneinheiten.
Aufgaben / Übungen Integralrechnung
In diesem Abschnitt findet ihr unsere Übungsaufgaben zur Integralrechnung.
- Integration Grundlagen Aufgaben / Übungen
- Stammfunktion berechnen Aufgaben / Übungen
- Integrationsregeln Aufgaben / Übungen
- Integrationsgrenzen Aufgaben / Übungen
- Fläche unter Kurve / Funktion Aufgaben bzw. Übungen
Video Integralrechnung
Integration und Fläche
In diesem Video sehen wir uns die Berechnung von Flächen durch Einsatz der Integralrechnung an. Dies sind die Themen:
- Integration für Flächenberechnung mit Grenzen
- Allgemeines Vorgehen
- Aufgabe 1
- Aufgabe 2
Ich empfehle die Aufgaben selbst noch einmal nachzurechnen.
Nächstes Video »
Fragen mit Antworten zur Integralrechnung
In diesem Abschnitt sehen wir uns Fragen mit Antworten zur Integralrechnung an.
F: Wann wird die Integralrechnung in der Schule behandelt?
Die Integralrechnung ist ein Thema für die Oberstufe und wird vor allem ab der 11. Klasse bis hin zum Abitur behandelt. Bevor man die Integralrechnung jedoch behandelt sollte man die Ableitung von Funktionen können inklusive einer Kurvendiskussion. Die Integralrechnung ist auch nach dem Abitur in vielen Studiengängen ein Thema.
F: Welche Themen der Integralrechnung sollte ich kennen?
A: Wir arbeiten aktuell an diesen Gebieten und verlinken diese hier sobald verfügbar.
- Integralrechnung
Ableitung und Integration findet ihr auch unter Analysis.
Neue Artikel
- Raute ▷ Formeln, Eigenschaften und Beispiele
- Sachaufgaben Klasse 5 Mathematik Aufgaben
- Sachaufgaben Mathe: Klasse 5
- Worte in Zahlen Aufgaben (Übungen)
- Worte in Zahlen umwandeln
- Teilerfremdheit (Mathematik)
- Hohlmaße umrechnen
- Hundertertafel Grundschule
- Quersumme berechnen und Teilbarkeit
- Quadratzahlen berechnen (mit Liste)
