Kurvendiskussion: Beispiel mit ausführlichen Schritten
Geschrieben von: Dennis RudolphMontag, 16. Dezember 2019 um 10:24 Uhr
Was eine Kurvendiskussion ist und wie man sie durchführt, lernt ihr hier. Dies sehen wir uns an:
- Eine Erklärung, wofür man die Kurvendiskussion macht.
- Beispiele und Schritte wie man eine Kurvendiskussion durchführt.
- Aufgaben / Übungen um das Thema selbst zu üben.
- Ein Video zu einer Kurvendiskussion.
- Ein Frage- und Antwortbereich zu diesem Gebiet.
Tipp: Es ist hilfreich, wenn ihr bereits wisst, wie man eine Funktion zeichnet und wenn ihr bereits die Ableitungsregeln für Funktionen kennt.
Kurvendiskussion Schritte / Ablauf
Mal ganz einfach erklärt: Was ist eine Kurvendiskussion und wozu benötigt man diese?
Unter einer Kurvendiskussion versteht man eine umfangreiche Untersuchung einer Funktion. Dabei sucht man nach wichtigen Eigenschaften dieser Funktion wie zum Beispiel Extrempunkte oder Wendepunkte oder auch Definitionslücken. Diese Eigenschaften helfen auch dabei die Funktion im Anschluss zu zeichnen.
Die Kurvendiskussion unterteilt man in verschiedene Schritte. Nicht immer wird jeder Schritt durchgeführt, der Ablauf ist jedoch meistens sehr ähnlich. Weiter unten findet ihr Beispiele für Kurvendiskussionen. Wer von bestimmten Punkten der Kurvendiskussion noch nie etwas gehört hat, kann sich diese auch in den folgenden Artikeln einzeln ansehen.
Kurvendiskussion Schritte:
- Definitionsbereich
- Nullstellen berechnen
- Polstellen einer Funktion
- Symmetrie / Symmetrieverhalten
- Hochpunkt / Tiefpunkt berechnen
- Wendepunkt / Wendestelle berechnen
- Sattelpunkt berechnen
- Wendetangente berechnen
- Monotonie / Monotonieverhalten
- Verhalten im Unendlichen
- Funktion zeichnen (Graph)
Hinweis: Nicht bei jeder Kurvendiskussion wird diese Vorgehensweise komplett durchgezogen. Manche Punkte werden auch weggelassen oder der Autor der Aufgabe lässt sich noch eine besondere Gemeinheit einfallen. Wir sehen uns gleich mal ein Beispiel mit einigen dieser Punkte an.
Anzeige:
Anzeigen:
Kurvendiskussion Beispiel
In diesem Abschnitt soll ein Beispiel zur Kurvendiskussion durchgeführt werden.
Beispiel 1:
Wir haben die folgende gebrochenrationale Funktion:

Ermittle die folgenden Eigenschaften:
- Nullstellen
- Pole
- Definitionslücken
- Spiegelsymmetrie zur y-Achse
- Punktsymmetrie zum Ursprung
- Extrempunkt (Hochpunkte und Tiefpunkte)
- Wendepunkte und Sattelpunkte
- Verhalten im Unendlichen
Lösung der Aufgabe: Gehen wir die Aufgabenliste Stück für Stück durch.
1.Nullstellen, 2. Pole und 3. Definitionslücken:
Um die Nullstellen zu berechnen, setzen wir zunächst den Zähler der Funkion = 0. Lösen wir nach x auf erhalten wir mit x1 = 1 und x2 = -1 zwei Lösungen.

Um Polstellen zu berechnen, setzen wir den Nenner gleich Null. Hier erhalten wir bei x = 0 eine mögliche Polstelle. Da wir bei den Nullstellen bereits x1 und x2 vergeben haben, bezeichnen wir die mögliche Polstelle als x3.

Wir können den Bruch nicht kürzen. Daher bleiben uns die Nullstellen bei +1 und -1 sowie den Pol bei 0 erhalten. An dieser Stelle x = 0 ist die Funktion nicht definiert, denn in einem Bruch darf der Nenner nicht Null werden. Aus diesem Grund kennen wir mit dem Pol auch gleich die Definitionslücke bei x = 0. Somit dürfen alle reellen Zahlen eingesetzt werden bis auf die 0. Daher können wir die Definitionsmenge wie folgt angeben:

4. Spiegelsymmetrie zur y-Achse:
Liegt bei dieser Funktion eine Spiegelsymmetrie vor? Um dies zu berechnen benötigen wir nicht nur unser f(x) wie wir es von der Aufgabenstellung her kennen, sondern auch f(-x). Um dies für unsere Kurvendiskussion zu erhalten, ersetzen wir in der Funktion jedes x durch -x. Da f(x) und f(-x) verschieden sind liegt keine Spiegelsymmetrie vor.

5. Punktsymmetrie zum Ursprung:
In diesem Schritt untersuchen wir die Punktsymmetrie zum Ursprung. Diese liegt vor wenn f(-x) = -f(x) erfüllt ist. Die Funktion f(-x) kennen wir bereits aus dem letzten Schritt der Kurvendiskussion. Fehlt uns noch -f(x). Dazu schreiben wir vor den Bruch einfach ein Minus-Zeichen. Wie man sehen kann ist f(-x) = -f(x) erfüllt. Aus diesem Grund liegt eine Punktsymmetrie zum Ursprung vor.

6a. Extrempunkt (Hochpunkte und Tiefpunkte)
Um die Extrempunkte zu berechnen (und danach die Wendepunkte), ermitteln wir zunächst einmal die ersten drei Ableitungen der Funktion. Dies ist recht aufwendig, denn wir haben hier einen Bruch mit x in Zähler und Nenner. So etwas leitet man mit der Quotientenregel ab. Dazu setzen wir den Zähler = u und den Nenner = v. Beides leiten wir ab und setzen dies in die allgemeine Gleichung der Quotientenregel ein.

Um die erste Ableitung der Funktion zu erhalten, setzen wir jetzt u, u', v und v' ein. Bei den Potenzen müsst ihr sehr aufpassen. Werden zwei Potenzen multipliziert, dann addieren sich die Exponenten. Beispiel: x3 · x3 = x6 und nicht x9! Am Ende der Berechnung klammern wir ein x2 aus und kürzen es zur Vereinfachung der ersten Ableitung.

Um die Berechnung hier nicht noch viel länger werden zu lassen folgen die zweite Ableitung und die dritte Ableitung in Kurzform ohne Berechnung. Wer dies noch üben möchte, kann die Ableitungen gerne noch einmal per Hand selbst rechnen. Achtet jedoch auch hier auf die Multiplikation der Potenzen. Die ersten drei Ableitungen lauten:

6b. Kandidaten Extrempunkte / Extrema:
Um mögliche Extremwerte zu ermitteln müssen wir die erste Ableitung gleich Null setzen. Diese lösen wir nach x auf und erhalten mit plus Wurzel 3 und minus Wurzel 3 Kandidaten für Extrempunkte. Diese bezeichnen wir mit x4 und x5, denn x1 bis x3 hatten wir weiter oben bereits für Nullstellen und Pole verwendet.

Liegen bei plus Wurzel 3 und minus Wurzel 3 wirklich Extrempunkte vor? Um dies zu prüfen setzen wir zunächst plus Wurzel aus 3 in die 2. Ableitung der Funktion ein. Rechnen wir dies aus erhalten wir 1,92 als Ergebnis. Da dies größer als 0 ist liegt wirklich ein Extrempunkt in Form eines Tiefpunktes (Minimum) vor. Wir kennen nun den x-Wert des Extrempunktes. Um noch den y-Wert zu ermitteln, setzen wir Wurzel aus 3 noch in die Ausgangsfunktion f(x) ein und berechnen diesen y-Wert. Damit kennen wir den Tiefpunkt.

Sehen wir uns noch den möglichen Extrempunkt bei minus Wurzel 3 an. Auch diesen setzen wir in die 2. Ableitung ein. Da -1,92 kleiner als 0 ist, handelt es sich bei diesem Extrempunkt um einen Hochpunkt. Daher setzen wir minus Wurzel 3 noch in f(x) ein und berechnen den zugehörigen y-Wert. Dadurch kennen wir x-Wert und y-Wert des Hochpunktes.

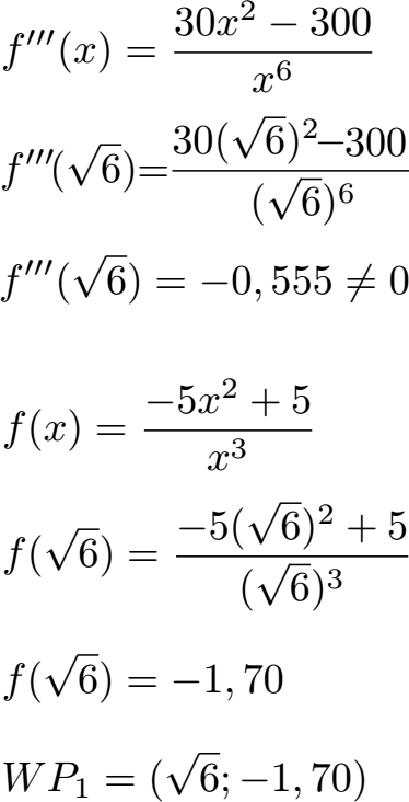
7. Wendepunkt / Sattelpunkt:
Im nächsten Schritt dieser Kurvendiskussion suchen wir nach Wendepunkte und Sattelpunkte. Um einen Wendepunkt zu ermitteln, setzen wir die zweite Ableitung gleich Null. Die Kandidaten für einen Wendepunkt / Sattelpunkt sind bei plus und minus der Wurzel aus 6.

Die Wurzel aus plus 6 setzen wir in die 3. Ableitung der Funktion ein, wobei diese ungleich Null sein muss. Dies ist mit -0,555 auch der Fall. Um noch den zugehörigen y-Wert zu berechnen, setzen wir noch in f(x) ein und erhalten den 1. Wendepunkt der Funktion.

Liegt noch ein zweiter Wendepunkt vor? Dazu setzen wir minus Wurzel aus 6 ebenfalls in die dritte Ableitung ein. Auch in diesem Fall muss das Ergebnis ungleich Null sein. Dies ist mit -0,555 ebenfalls wieder der Fall. Daher setzen wir auch hier minus Wurzel aus 6 in f(x) ein um den zweiten Wendepunkt komplett zu berechnen.

Liegt auch noch ein Sattelpunkt vor? Dazu müssten an den Stellen plus Wurzel 6 und minus Wurzel 6 noch die 1. Ableitung Null sein. Weiter oben hatten wir für die Berechnung der Extrempunkt jedoch gesehen, dass dies an diesen Stellen nicht der Fall ist. Daher hat diese Funktion keine Sattelpunkte.
8. Grenzverhalten / Verhalten im Unendlichen:
Wie verhält sich die Funktion wenn ganz große oder ganz kleine Zahlen für x eingesetzt werden? Dazu muss man gar nicht lange rechnen. Die höchste Potenz im Zähler ist 2, die höchste Potenz im Nenner ist 3. Je höher die Potenz ist, desto schneller wächst die Potenz. Daher wächst der Nenner viel schneller als der Zähler. Dies führt dazu, dass der ausgerechnete Bruch immer weiter Richtung 0 läuft. Wer es nicht glaubt setzt für x einmal 100 und 1000 ein bzw. -100 und -1000.

Aufgaben / Übungen Kurvendiskussion
Anzeigen:Video Kurvendiskussion
Beispiel Schritt für Schritt
Im nächsten Video wird eine Kurvendiskussion Schritt für Schritt vorgerechnet. Dies sind die Inhalte:
- Definitionsbereich
- Nullstellen
- Symmetrie
- Schnittstelle y-Achse
- Verhalten im Unendlichen
- Extrempunkte
- Wendepunkte
Die einzelnen Punkte werden mit Hilfe von einem Beispiel vorgerechnet.
Nächstes Video »
Fragen mit Antworten Kurvendiskussion
In diesem Abschnitt sehen wir uns typische Fragen mit Antworten zur Kurvendiskussionen an.
F: Ist der Ablauf einer Kurvendiskussion immer gleich?
A: Es gibt natürlich die Möglichkeit bestimmte Punkte etwas früher oder später durchzuführen. Jedoch macht es durchaus Sinn immer erst einmal nach Nullstellen und Polstellen bzw. Definitionslücken zu suchen. Zur Ermittlung der Extrempunkte, Sattelpunkte und Wendepunkte benötigt ihr so oder so die Ableitungen. Im Normalfall kann man also das Thema nach "Kochrezept" abarbeiten.
F: Werden immer alle Punkte einer Kurvendiskussion durchgeführt?
A: Nein. In der Schule und im Studium gibt in der Regel der Lehrer bzw. Professor vor, welche Punkte bei einer Kurvendiskussion interessant sind. So eine Kurvendiskussion ist auch sehr zeitaufwendig, gerade wenn man sie ohne (grafischen) Taschenrechner durchführen soll.
F: Für welche Arten von Funktionen werden Kurvendiskussionen durchgeführt?
A: Hier sind den Gemeinheiten des Lehrers kaum Grenzen gesetzt. Man kann diese zum Beispiel für ganzrationale oder gebrochenrationale Funktionen durchführen sowie für E-Funktionen oder auch Wurzelfunktionen bzw. Logarithmusfunktionen.
F: Wann wird dieses Thema in der Schule behandelt?
A: Die Kurvendiskussion steht im Normalfall ab der 10. Klasse, spätestens jedoch ab der 11. Klasse auf dem Lehrplan. Dies hängt vom Bundesland ab und ob ihr nach G8 oder G9 lernt.
F: Ich verstehe die Kurvendiskussion nicht. Wie kann ich dies ändern?
A: Die Kurvendiskussion ist nichts anderes als das Abarbeiten verschiedener Schritte um eine Funktion zu untersuchen. Weiter oben wurden viele dieser Schritte in Kurzform vorgestellt. Wer die einzelnen Themen ausführlicher benötigt, findet viele Erklärungen sowie Beispiele Schritt für Schritt vorgerechnet zu diesen Fachbegriffen:
- Differentialrechnung Übersicht
- Ableitung: Grundlagen und Definition
- Ableitung Tabelle / Ableitungstabelle
- Ableitungsregeln
- Kurvendiskussion
Grundsätzlich hilfreich ist es natürlich auch, wenn ihr wichtige Begriffe der Analysis bzw. der Differentialrechnung ebenfalls kennt. Diese werden in den eben gezeigten Artikeln jedoch auch behandelt.
Neue Artikel
- Raute ▷ Formeln, Eigenschaften und Beispiele
- Sachaufgaben Klasse 5 Mathematik Aufgaben
- Sachaufgaben Mathe: Klasse 5
- Worte in Zahlen Aufgaben (Übungen)
- Worte in Zahlen umwandeln
- Teilerfremdheit (Mathematik)
- Hohlmaße umrechnen
- Hundertertafel Grundschule
- Quersumme berechnen und Teilbarkeit
- Quadratzahlen berechnen (mit Liste)
