Produktform / Produktdarstellung
Geschrieben von: Dennis RudolphMontag, 31. Dezember 2018 um 18:11 Uhr
Was man unter der Produktform bzw. Produktdarstellung versteht, lernt ihr hier. Folgende Inhalte werden angeboten:
- Eine Erklärung, was was man unter der Produktform versteht.
- Beispiele um eine Funktion in die Produktdarstellung zu bringen.
- Übungen zu diesem Gebiet.
- Ein Video zu diesem Thema.
- Ein Frage- und Antwortbereich zur Produktdarstellung.
Tipp: Wir sehen uns hier gleich die Produktdarstellung an. Hilfreich beim Verstehen der Inhalte ist es, wenn ihr bereits wisst wie die PQ-Formel und die Polynomdivision funktioniert. Wer davon noch keine Ahnung hat und in den nächsten Abschnitten Verständnisprobleme bekommt, sollte dort einmal rein sehen.
Produktform Erklärung
Wofür braucht man die Produktschreibweise überhaupt?
Die Produktform bzw. Produktschreibweise ist eine andere Darstellung für eine Polynomfunktion. Der Vorteil dieser Schreibweise ist es, dass die Nullstellen der Funktion sofort ablesen werden können. Man bezeichnet diese Form auch als Linearfaktordarstellung.
Was heißt das? Starten wir mit der allgemeinen Form, im Anschluss folgt ein Beispiel. In den meisten Fällen liegt eine Gleichung oder eine Funktion in Form einer Summe vor:

Für die Produktform müssen wir diese Funktion oder Gleichung auf diese Schreibweise bringen:

Das x - x1 oder auch x -x2 bezeichnet man als Linearfaktoren. Diese Produktschreibweise mit den Klammern wird auch als Zerlegung eines Polynoms in seine Linearfaktoren bezeichnet.
Beispiel für Produktdarstellung:
Sehen wir uns kurz ein Beispiel an. Wir haben eine quadratische Gleichung in Polynomschreibweise (Darstellung mit Summen):

In der Produktdarstellung wäre diese Gleichung wie folgt zu schreiben:

Wie kommt man selbst dazu eine Funktion oder Gleichung in die Produktform umzuformen? Dazu sehen wir uns Beispiele zum besseren Verständnis im nächsten Abschnitt an.
Anzeige:
Anzeigen:
Beispiel Produktdarstellung / Produktschreibweise
Wir sehen uns hier Beispiele für die Produktschreibweise für quadratische Funktionen und quadratische Gleichungen an sowie für eine kubische Gleichung 3. Grades (ganzrationale Gleichung) und eine gebrochenrationale Gleichung.
Beispiel 1: Quadratische Funktion (Gleichung)
Wir haben eine quadratische Funktion in der gewohnten Polynomschreibweise. Wandle diese in die Produktform um.

Lösung:
Wir setzen diese Gleichung gleich Null. Mit der PQ-Formel lösen wir die quadratische Gleichung um x1 und x2 zu berechnen.

Wir erhalten die Lösungen x1 = -1 und x2 = -2. Damit eine Klammer Null wird muss entweder -1 oder -2 für die Variable x eingesetzt werden. Daher erhalten wir als Produktschreibweise (x + 1)(x + 2).

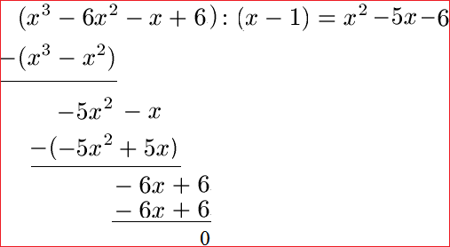
Beispiel 2: Ganzrationale Gleichung (Kubische Funktion)
Im Beispiel 2 soll die Produktschreibweise für eine ganzrationale Funktion berechnet werden. Es handelt sich dabei um eine Polynomfunktion 3. Grades, sprich eine kubische Funktion. Bringe die folgende Funktion in die Produktdarstellung.

Lösung:
Um auf die Produktschreibweise zu kommen, muss zunächst eine Polynomdivision berechnet werden. Dazu fehlt uns zunächst eine erste Nullstelle für die Berechnung. Diese Nullstelle finden wir durch Raten von x = 1. Wie dies geht lernt ihr unter Erste Nullstelle finden (Polynomdivision). Wer mit der folgenden Berechnung zu kämpfen hat sieht bitte rein unter Polynomdivision Erklärung.

Wie kommen wir auf die Produktdarstellung? Mit (x -1) kennen wir bereits den ersten Linearfaktor, denn diesen haben wir bei der Polynomdivision eingesetzt. Übrig geblieben ist noch der quadratische Ausdruck x2 -5x -6. Wir wenden darauf die PQ-Formel an. Die Rechnung erspare ich mir hier damit der Artikel nicht noch länger wird. Wir erhalten x = 6 und x = -1. Die Produktschreibweise sieht dadurch wie folgt aus:

Beispiel 3: Gebrochenrationale Funktion / Gleichung
Im Beispiel Nummer 3 liegt eine gebrochenrationale Funktion (Gleichung) vor. Der Zähler entspricht der Polynomfunktion aus dem ersten Beispiel. Im Nenner liegt die quadratische Gleichung aus Beispiel 2 vor.

Lösung:
Für Zähler und Nenner soll soll eine Zerlegung für eine Produktdarstellung durchgeführt werden. Im Zähler der gebrochenrationalen Funktion machen wir dies wie in Beispiel 1 dargestellt mit Polynomdivision und PQ-Formel. Wir erhalten (x -1)(x - 6)(x + 1). Im Nenner der gebrochenrationalen Funktion wenden wir die PQ-Formel an wie in Beispiel 2 und erhalten (x + 1)(x + 2). Am Ende kürzen wir (x + 1) in Zähler und Nenner.

Aufgaben / Übungen Produktdarstellung
Anzeigen:Video Produktdarstellung
Erklärung und Beispiele
In diesem Video wird die Linearfaktorzerlegung gezeigt. Dadurch wir die Produktdarstellung erreicht. Folgende Vorgehensweise wird angewendet:
- Nullstellen suchen
- Linearfaktoren aufschreiben
- In Produktdarstellung bringen
- Eventuell Probe zur Kontrolle
Dies wird erklärt und es werden Beispiele vorgerechnet.
Nächstes Video »
Fragen mit Antworten Produktdarstellung
In diesem Abschnitt sehen wir uns typische Fragen mit Antworten zur Produktschreibweise an.
F: Welche Verfahren der Mathematik sollte ich kennen um Nullstellen zu berechnen?
A: Soll die Produktzerlegung für eine quadratische Gleichung durchgeführt werden, so gibt es zwei Verfahren, die man kennen sollte. Dies ist zunächst einmal die recht Bekannte PQ-Formel. Als Alternative zum Lösen von quadratischen Funktionen kann die ABC-Formel eingesetzt werden, welche auch Mitternachtsformel genannt wird. Erreichen die Funktionen den 3. Grad, 4. Grad oder höher wird die Polynomdivision benötigt. Wer diese lernen möchte wirft einen Blick in die Polynomdivision Erklärung.
F: Wo findet die Produktschreibweise noch Anwendung?
A: Auch Parabeln (inklusive Normalparabel) und ihre Schreibweise stehen im Zusammenhang mit der Produktdarstellung. Ebenso ist die Normalform einer Gleichung oder Parabel interessant. Mehr zu diesem Gebiet findet ihr unter Parabel und Scheitelpunktform.
F: Welche Gebiete sollte ich mir als nächstes ansehen?
A: Werft noch einen Blick auf diese Themen:
- Gleichungen lösen
- Lineare Gleichungen lösen
- Gleichungen mit Klammern
- Bruchgleichungen / Brüche mit Gleichungen
- Quadratische Funktion lösen
- Nullstellen berechnen
- Gleichung mit 2 Variablen
- Ungleichungen lösen
- Parabel Mathematik
- Scheitelpunkt (Scheitelpunktform) / Produktform
- Betragsgleichungen
- Betragsungleichungen
Neue Artikel
- Raute ▷ Formeln, Eigenschaften und Beispiele
- Sachaufgaben Klasse 5 Mathematik Aufgaben
- Sachaufgaben Mathe: Klasse 5
- Worte in Zahlen Aufgaben (Übungen)
- Worte in Zahlen umwandeln
- Teilerfremdheit (Mathematik)
- Hohlmaße umrechnen
- Hundertertafel Grundschule
- Quersumme berechnen und Teilbarkeit
- Quadratzahlen berechnen (mit Liste)
