Ableitungsregeln
Geschrieben von: Dennis RudolphSamstag, 16. November 2019 um 13:51 Uhr
Die Ableitungsregeln der Mathematik mit Beispielen und einer Tabelle von Ableitungen findet ihr hier. Wer bereits weiß welche Regel gebraucht wird kann sich direkt zur Regel begeben. Ansonsten findet ihr darunter Beispiele und Erklärungen.
Übersicht Ableitungsregeln:
- Konstantenregel (Konstante Funktion)
- Faktorregel Ableitung
- Potenzregel Ableitung
- Summenregel / Differenzregel Ableitung
- Produktregel Ableitung
- Quotientenregel Ableitung
- Kettenregel Ableitung
- Produktregel und Kettenregel gemeinsam
Ihr wisst nicht welche Ableitungsregel benötigt wird? Dann werfen wir nun Stück für Stück einen Blick auf die Regeln der Ableitung.
Ableitungsregeln mit Beispiele
Sehen wir uns die einzelnen Regeln mti Beispiel einmal an.
Konstantenregel:
Besteht die Gleichung nur aus einer Zahl wie im folgenden Beispiel ist die Ableitung einfach Null.

Im Koordinatensystem eingezeichnet ergibt dies:

Mehr zur dieser Ableitungsregel findet ihr unter Konstantenregel.
Faktorregel (Ableitungsregel):
Ein konstanter Faktor bleibt bei der Ableitung einer Funktion oder Gleichung erhalten.

Im nächsten Beispiel sieht man das der Faktor 10 bei der Ableitung erhalten bleibt.

Diese Ableitungsregel wird mit weiteren Beispielen unter Faktorregel besprochen.
Potenzregel Ableitung:
Für Potenzen gibt es auch eine Ableitungsregel. Die Formel zur Potenzregel lautet:

Die Gleichung f(x) = x3 soll abgeleitet werden. Mit der Ableitungsregel Potenzregel wandert der Exponent (3) nach vorne in die Basis. Im Exponenten wird die Zahl 3 um 1 verringert.

Die Potenzregel mit weiteren Beispielen findet ihr unter Potenzregel für Ableitungen.
Summenregel / Differenzregel:
Die Summenregel und die Differenzregel dienen dazu Ableitungen bei Summen und Differenzen durchzuführen. Die Formel verstehen viele vielleicht nicht.

Daher ein Beispiel: In diesem sieht man, dass einfach die einzelnen Teile der Funktion mit x einzeln abgeleitet werden.

Anzeige:
Anzeigen:
Schwierigere Ableitungsregeln
Kommen wir zu etwas schwierigeren Ableitungsregeln.
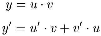
Ableitungsregel Produkte:
Die Produktregel dient dazu Funktionen abzuleiten, welche in der Form y = u(x) · v(x) vorliegen. Dazu müssen wir u(x) und auch v(x) erkennen und ableiten. In Kurzschreibweise ausgedrückt erhaltet ihr die Ableitung wie folgt:

Im nächsten Beispiel sehen wir ein Produkt. Wir suchen uns u und v raus, leiten beides ab und wenden die Formel von weiter oben an.

Dieses Beispiel sowie weitere Aufgaben zu dieser Ableitungsregel besprechen wir unter Produktregel (Ableitung).
Quotientenregel:
Um einen Bruch abzuleiten wird die Quotientenregel benötigt. Die Formel lautet:

Im nächsten Beispiel wird der Bruch in Zähler u und Nenner v unterteilt. Beide werden abgeleitet und in die Formel der Quotientenregel eingesetzt.

Mehr dazu unter Quotientenregel oder Bruch ableiten.
Kettenregel:
Die Kettenregel ist eine Ableitungsregel für Wurzeln, E-Funktionen, Logarithmusfunktionen und andere verkettete Funktionen. Hier einige Beispiele für Funktionen bzw. Gleichungen die mit der Kettenregel abgeleitet werden. Vorgerechnete Beispiele unter Kettenregel.

Wie gesagt: Aufgaben und Beispiele unter Kettenregel.
Aufgaben / Übungen Ableitungsregeln
Anzeigen:Video Ableitungsregeln
Kettenregel Beispiele und Erklärung
Die Kettenregel ist eine der schwierigsten Ableitungsregeln. Aus diesem Grund sehen wir uns diese einmal im nächsten Video etwas genauer an:
- Kettenregel als Ableitungsregel
- Innere und äußere Funktion ableiten
- Potenz mit Klammer ableiten im ersten Beispiel
- Ableitung eines Sinus im zweiten Beispiel
- Zur Ableitung einer E-Funktion gibt es das dritte Beispiel.
Nächstes Video »
Fragen mit Antworten Ableitungsregeln
In diesem Abschnitt sehen wir uns noch einige Frage mit Antworten zur Ableitungsregeln an.
F: Wo finde ich Tabellen um grundlegende Ableitungen zu sehen?
A: Die folgenden Tabellen enthalten die gängigsten Ableitungen für einfachste Funktionen. Zur Anwendung der Ableitungsregeln werden diese benötigt.

Ableitung Wurzel:

Ableitung Tabelle: Trigonometrische Funktionen

Ableitung Tabelle: Exponentialfunktionen

Ableitung Tabelle für Logarithmus

F: Welche Ableitungsregeln und Ableitungsthemen sollte ich kennen?
A: Die folgenden Themen werden in der Schule zu Ableitungen behandelt.
- Differentialrechnung Übersicht
- Ableitung: Grundlagen und Definition
- Ableitung Tabelle / Ableitungstabelle
- Ableitungsregeln
- Kurvendiskussion
Neue Artikel
- Raute ▷ Formeln, Eigenschaften und Beispiele
- Sachaufgaben Klasse 5 Mathematik Aufgaben
- Sachaufgaben Mathe: Klasse 5
- Worte in Zahlen Aufgaben (Übungen)
- Worte in Zahlen umwandeln
- Teilerfremdheit (Mathematik)
- Hohlmaße umrechnen
- Hundertertafel Grundschule
- Quersumme berechnen und Teilbarkeit
- Quadratzahlen berechnen (mit Liste)
