Summenregel / Differenzregel Ableitung
Geschrieben von: Dennis RudolphSonntag, 24. November 2019 um 11:02 Uhr
Die Summenregel bzw. Differenzregel für Ableitungen lernt ihr hier. Dies sehen wir uns an:
- Eine Erklärung, was die Summenregel / Differenzregel .
- Beispiele wie man diese Ableitungsregel anwendet.
- Aufgaben / Übungen um das Thema selbst zu üben.
- Ein Video zu Regeln der Ableitung.
- Ein Frage- und Antwortbereich zu diesem Gebiet.
Tipp: Es gibt unterschiedliche Regeln um Funktionen oder Gleichungen abzuleiten. Bevor ihr euch diese jedoch anseht, solltet ihr die Grundlagen der Ableitung kennen und die Potenzregel.
Summenregel / Differenzregel Erklärung
Wie kann man Funktionen oder Gleichungen ableiten, wenn diese aus Summen oder Differenzen bestehen? Dazu gibt es die Summenregel oder auch Differenzregel. Sehen wir uns kurz die Formeln zu beidem an und im Anschluss gibt es Beispiele.
Die Summenregel und die Differenzregel dienen dazu Ableitungen bei Summen und Differenzen durchzuführen. Dabei müssen einfach die einzelnen Teile der Funktionen separat abgeleitet werden.
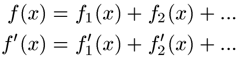
Formel Summenregel:

Formel Differenzregel:

Noch nicht verstanden? Ein paar Beispiele sollten helfen.
Beispiel 1: Summenregel
Sehen wir uns die Ableitungsregel "Summenregel" an. Dabei soll f(x) = 3x + 2 abgeleitet werden. Wir leiten dazu die einzelnen Teile der Funktion ab. Leiten wir 3x ab (mit der Potenzregel) erhalten wir 3. Die Konstante 2 abgeleitet ergibt 0, fällt damit weg.

Anzeige:
Anzeigen:
Summenregel / Differenzregel Beispiele
In diesem Abschnitt sehen wir uns ein weiteres Beispiel zur Differenzregel an und die Summenregel in Verbindung mit der Potenzregel.
Beispiel 2: Differenzregel
Zwischen den Teilen einer Funktion muss nicht ein plus (+) stehen, sondern es kann auch ein (-) stehen. Die Vorgehensweise beim Ableiten ist identisch zur Summenregel von weiter oben. Dabei werden die einzelnen Teile der Funktion erneut separat abgeleitet. Aus 4x wird 4 und aus -2x wird -2.

Beispiel 3: Summenregel mit Potenzregel
Im nächsten Beispiel werden sowohl Summenregel als auch Potenzregel benötigt um die Ableitung zu bilden. Dabei bilden wir sowohl von -2x4 die Ableitung als auch von -3x3. Bei der Ableitung kommt der Exponent nach vorne in die Basis und der Exponent wird um 1 reduziert.

Wichtig: In vielen Fällen müssen mehrere Ableitungsregeln angewendet. Dies funktioniert nur, wenn man diese Regeln der Ableitung kennt.
Aufgaben / Übungen
Anzeigen:Video Ableitungsregeln
Regeln und Beispiele
Verschiedene Regeln zur Ableitung findet ihr im nächsten Video. Dies sind die Inhalte:
- Zusammenfassung Video-Inhalt
- Ableitungsregel: Faktorregel mit Beispiel
- Ableitungsregel: Potenzregel mit Beispiel
- Ableitungsregel: Summenregel mit Beispiel
- Allgemeine Infos zum Ableiten
Nächstes Video »
Fragen mit Antworten zu Summen- und Differenzregel
In diesem Abschnitt sehen wir uns Fragen mit Antworten zur Differenz- und Summenregel an.
F: Welche Gebiete sollte ich zur Ableitung und Ableitungsregeln noch lernen?
A: Die folgenden Themen werden in der Schule zu Ableitungen behandelt.
- Differentialrechnung Übersicht
- Ableitung: Grundlagen und Definition
- Ableitung Tabelle / Ableitungstabelle
- Ableitungsregeln
- Kurvendiskussion
F: Wann werden Summen- und Differenzregel behandelt?
A: Die Summen- und Differenzregel werden ab der 10. Klasse bzw. 11. Klasse in der Schule behandelt und kommen oft im Abitur vor. Auch in zahlreichen verschiedenen Studiengängen steht Mathematik mit den Ableitungsregeln auf dem Schulplan.
F: Was kommt nach den Ableitungen?
A: Die Integralrechnung steht meistens nach der Ableitungsrechnung auf dem Plan.
Neue Artikel
- Raute ▷ Formeln, Eigenschaften und Beispiele
- Sachaufgaben Klasse 5 Mathematik Aufgaben
- Sachaufgaben Mathe: Klasse 5
- Worte in Zahlen Aufgaben (Übungen)
- Worte in Zahlen umwandeln
- Teilerfremdheit (Mathematik)
- Hohlmaße umrechnen
- Hundertertafel Grundschule
- Quersumme berechnen und Teilbarkeit
- Quadratzahlen berechnen (mit Liste)
