Wendetangente berechnen und Definition
Geschrieben von: Dennis RudolphMontag, 16. Dezember 2019 um 10:33 Uhr
Was eine Wendetangente ist und wie man sie berechnet, lernt ihr hier. Dies sehen wir uns an:
- Eine Erklärung, was eine Wendetangente ist.
- Beispiele wie man diese Punkte berechnet.
- Aufgaben / Übungen um das Thema selbst zu üben.
- Ein Video zur Wendetangente.
- Ein Frage- und Antwortbereich zu diesem Gebiet.
Tipp: Für die Berechnung der Wendetangente ist es hilfreich, wenn ihr bereits wisst, was ein Wendepunkt ist und wie die Ableitungsregeln funktionieren.
Wendetangente Erklärung
Das Thema Wendetangente könnt ihr nur wirklich verstehen, wenn ihr bereits Wendepunkte kennt. Daher werfen wir kurz einen Blick auf Wendepunkte und wie man mit diesen eine Wendetangente berechnet. Fangen wir mit der Definition und einer Grafik dazu an.
Definition Wendetangente:
Der Wendepunkt ist die Stelle an dem der Funktionsgraph sein Krümmungsverhalten ändert. Der Graph der Funktion wechselt hier von einer Linkskurve in eine Rechtskurve oder umgekehrt. Es handelt sich dabei um den Punkt stärkster Zunahme oder stärkster Abnahme. Die Tangente in diesem Wendepunkt nennt man Wendetangente. Darunter versteht man eine lineare Funktion bzw. lineare Gleichung durch den Wendepunkt mit der Steigung, welche in diesem Punkt vorhanden ist.
Der Wendepunkt ist die Stelle an welchem die Funktion ihr Krümmungsverhalten ändert.

Zeichnet man in diesem Punkt die Tangente (Wendetangente) sieht diese so aus:

Das Einzeichnen einer Wendetangente ist sehr ungenau. Daher berechnet man diese. Dazu nimmt man die allgemeine Gleichung einer linearen Funktion mit y = mx + b und setzt für x und y den Wendepunkt ein und für m die Steigung im Wendepunkt.
Anzeige:
Anzeigen:
Wendetangente Beispiel
In diesem Abschnitt sehen wir uns ein Beispiel zur Wendetangente an.
Beispiel 1: Wendetangente bestimmen
Wie lautet die Wendetangente dieser Funktion?

Lösung:
Mit der Potenzregel bilden wir die ersten drei Ableitungen der Funktion.

Um den Wendepunkt zu finden, setzen wir die zweite Ableitung der Funktion gleich Null und berechnen x. Dabei nennen wir diese Stelle x im Anschluss x0, da dies unser Kandidat für einen Wendepunkt ist.

In die dritte Ableitung müssten wir eigentlich x = 1 einsetzen (wie eben berechnet). Da es jedoch kein x in der dritten Ableitung gibt haben wir einfach 6 in dieser Ableitung und dies ist ungleich Null. Daher liegt bei x0 = 1 ein Wendepunkt vor.

Wir wissen damit, dass bei x = 1 wirklich ein Wendepunkt vorliegt. Uns fehlt noch der y-Wert vom Wendepunkt, daher setzen wir x = 1 in f(x) ein und berechnen y.

Der Wendepunkt liegt bei x = 1 und y = -2.
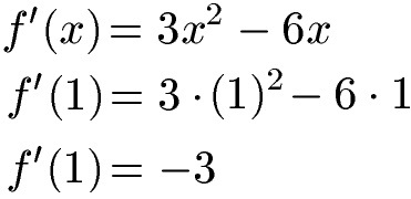
Wendetangente bestimmen: Sobald der Wendepunkt vorliegt kann mit diesem die Wendetangente berechnet werden. Zuerst benötigen wir die Steigung in diesem Punkt. Die Steigung ist nichts anderes als die erste Ableitung an der Stelle x = 1.

Die Steigung im Wendepunkt haben wir eben mit m = -3 berechnet. Der Wendepunkt liegt bei x = 1 und y = -2. Dies setzen wir in die allgemeine Gleichung einer lineare Funktion mit y = mx + b ein und berechnen damit b. Wir haben damit alle Informationen für die Wendetangente y = -3x + 1.

Aufgaben / Übungen Wendetangente
Anzeigen:Video Wendetangente
Beispiele und Erklärung
Dies sehen wir uns im nächsten Video:
- Was ist ein Wendepunkt?
- Was ist eine Wendetangente?
- Berechnung vom Wendepunkt
- durch Ableitungen
- durch Bedingungen
- Aufstellen der Tangente im Wendepunkt
- Funktion / Gleichung der Wendetangente
Nächstes Video »
Fragen mit Antworten Wendetangente
In diesem Abschnitt sehen wir uns typische Fragen mit Antworten zur Wendetangente an.
F: Wie hängen Wendepunkt, Sattelpunkt und Wendetangente zusammen?
A: Der Wendepunkt ist der Punkt an welchem der Funktionsgraph seine Krümmung ändert. Zeichnet man in diesem Punkt eine Tangente mit der Steigung die der Funktionsverlauf hier besitzt, nennt man dies Wendetangente. Der Wendepunkt kann noch eine besondere Eigenschaft aufweisen. Ist die Steigung in diesem Punkt Null - was man mit der ersten Ableitung ermitteln kann - ist der Wendepunkt zusätzlich noch ein Sattelpunkt.
F: Welche Ableitungsregeln und Ableitungsthemen sollte ich kennen?
A: Die folgenden Themen werden in der Schule zu Ableitungen behandelt.
- Differentialrechnung Übersicht
- Ableitung: Grundlagen und Definition
- Ableitung Tabelle / Ableitungstabelle
- Ableitungsregeln
- Kurvendiskussion
Neue Artikel
- Raute ▷ Formeln, Eigenschaften und Beispiele
- Sachaufgaben Klasse 5 Mathematik Aufgaben
- Sachaufgaben Mathe: Klasse 5
- Worte in Zahlen Aufgaben (Übungen)
- Worte in Zahlen umwandeln
- Teilerfremdheit (Mathematik)
- Hohlmaße umrechnen
- Hundertertafel Grundschule
- Quersumme berechnen und Teilbarkeit
- Quadratzahlen berechnen (mit Liste)
