Tabelle Ableitung / Ableitungstabelle
Geschrieben von: Dennis RudolphSamstag, 16. November 2019 um 13:51 Uhr
Eine Tabelle für Ableitungen mit Beispielen darunter und Übungen bekommt ihr hier. Dies sehen wir uns an:
- Eine Tabelle mit verschiedensten Ableitungen.
- Beispiele wie man diese Elementarableitungen anwendet.
- Aufgaben / Übungen um selbst ein bisschen zu üben.
- Ein Video zur Ableitungen.
- Ein Frage- und Antwortbereich zu diesem Gebiet.
Tipp: Es ist sehr hilfreich wenn ihr überhaupt wisst was eine Ableitung ist. Wer davon noch nichts weiß wirft einen Blick in die Grundlagen der Ableitung.
Tabelle mit Ableitungen
Um die verschiedenen Ableitungsregeln anwenden zu können, benötigt man Wissen zur Ableitung von elementaren Funktionen. Die nächste Tabellen liefern euch diese. Unterhalb dieser Tabellen findet ihr Beispiele dazu.
Ableitung Tabelle Basis:

Ableitung Wurzel:

Ableitung Tabelle: Trigonometrische Funktionen

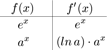
Ableitung Tabelle: Exponentialfunktionen

Ableitung Tabelle für Logarithmus

Arkusfunktionen ableiten:

Tabelle Hyperbelfunktionen:

Areafunktionen Tabelle:

Anzeige:
Anzeigen:
Beispiele für die Ableitungen
Zu einigen Funktionen von weiter oben haben wir bereits Beispiele.
Konstante Funktionen:

Diese und weitere Beispiele werden im Artikel Konstantenregel behandelt.
Faktoren und Potenzen Beispiele:



Dieses Beispiel erläutert und weitere Beispiele behandeln wir unter der Faktorregel.

Dieses Beispiel mit Erklärungen und weitere Aufgaben findet ihr unter Potenzregel Ableitung.
Produkte ableiten:


Das Ableiten von Produkten wie die beiden eben gezeigten Funktionen lernt ihr mit der Produktregel.
Brüche / Quotienten ableiten:


Wie man Brüche mit der Quotientenregel ableitet findet ihr unter Quotientenregel Ableitung.
Verkettung ableiten:

Diese Beispiele und mehr zu verketteten Gleichungen gibt es unter Kettenregel.
Aufgaben / Übungen Ableitung
Anzeigen:Video Ableitungen
Ableitungsregeln und Beispiele
Im nächsten Video sehen wir uns mehrere Ableitungsregen an:
- Inhalt des Videos
- Erklärung Faktorregel mit Beispiel
- Erklärung Potenzregel mit Beispiel
- Erklärung Summenregel mit Beispiel
- Allgemeine Infos zu Regeln der Ableitung
Nächstes Video »
Fragen mit Antworten Ableitungstabelle
In diesem Abschnitt sehen wir uns Fragen mit Antworten zu Ableitungen und der Tabelle an.
F: Sollte ich die Tabelle auswendig lernen?
A: Es ist hilfreich zumindest den oberen Teil der Ableitungstabelle zu lernen. Dies umfasst die Basisableitungen am Anfang, die Wurzel, die trigonometrischen Funktionen, Logarithmus und die Exponentialfunktionen. Alles darunter - also die Arkusfunktionen, Hyperbelfunktionen sowie die Areafunktionen - sind nicht so wichtig und können bei Bedarf nachgelesen werden.
F: Wann werden Ableitungen behandelt?
A: In der Schule wird frühstens in der 10. Klasse mit Ableitungen gestartet. Danach ist dies jedoch ein Dauerthema, sprich in der kompletten Oberstufe und im Abitur kommt dieses Thema ausführlich vor. In zahlreichen Studiengängen werden ebenfalls Ableitungen gebildet.
F: Welche Ableitungsregeln und Ableitungsthemen sollte ich mir neben der Quotientenregel noch ansehen?
A: Die folgenden Themen werden in der Schule zu Ableitungen behandelt.
- Differentialrechnung Übersicht
- Ableitung: Grundlagen und Definition
- Ableitung Tabelle / Ableitungstabelle
- Ableitungsregeln
- Kurvendiskussion
Neue Artikel
- Raute ▷ Formeln, Eigenschaften und Beispiele
- Sachaufgaben Klasse 5 Mathematik Aufgaben
- Sachaufgaben Mathe: Klasse 5
- Worte in Zahlen Aufgaben (Übungen)
- Worte in Zahlen umwandeln
- Teilerfremdheit (Mathematik)
- Hohlmaße umrechnen
- Hundertertafel Grundschule
- Quersumme berechnen und Teilbarkeit
- Quadratzahlen berechnen (mit Liste)
