Kettenregel und Produktregel zusammen einsetzen
Geschrieben von: Dennis RudolphSamstag, 07. Dezember 2019 um 15:04 Uhr
Wie man Kettenregel und Produktregel gemeinsam einsetzt, lernt ihr hier. Dies sehen wir uns an:
- Eine Erklärung, wie man mehrere Ableitungsregeln einsetzt.
- Beispiele wie man Produkt- und Kettenregel gemeinsam einsetzt.
- Aufgaben / Übungen um das Thema selbst zu üben.
- Ein Video zur Kettenregel.
- Ein Frage- und Antwortbereich zu diesem Gebiet.
Tipp: Wir setzen gleich verschiedene Ableitungsregeln für eine Ableitung ein. Es ist dabei sehr hilfreich wenn ihr diese bereits einzeln kennt. Dies wären Potenzregel, Produktregel und Kettenregel.
Produktregel und Kettenregel Erklärung
Werden Funktionen komplizierter reicht es nicht aus eine einzelne Regel für die Ableitung zu verwenden. Eine oft verwendete Kombination ist die Mischung aus Produktregel und Kettenregel. Oftmals muss dabei auch noch die Potenzregel zusätzlich verwendet werden.
Beispiel 1:
Wie lautet die erste Ableitung der folgenden Gleichung?

Lösung:
Zunächst muss man erkennen welche Regeln für die Ableitung benötigt werden. Wirft man einen Blick auf die Funktion sieht man innerhalb der Klammer eine Potenz. Am Ende gibt es eine E-Funktion, was auf eine Kette hindeutet. Die Funktion ist aus zwei Funktionen zusammengesetzt, welche jeweils ein x beinhalten. Daher haben wir ein Produkt.

Für die Ableitung verwenden wir zunächst die Produktregel. Wir unterteilen dazu die Funktion in u = 2x2 + 5 und v = e-2x. Die Ableitung von 2x2 + 5 lässt sich mit der Potenzregel zu u' = 4x einfach ermitteln. Etwas schwieriger wird es mit der E-Funktion. Hier gilt:
- Ableitung = Innere Ableitung mal äußere Ableitung
Um die Kettenregel anzuwenden leiten wir den Exponenten ab. Für die innere Ableitung wird aus -2x die innere Ableitung -2. Die äußere Ableitung bleibt erhalten, bleibt damit e-2x. Multiplizieren wir -2 mit e-2x erhalten wir die Ableitung v' = -2e-2x. Für u, u', v und v' setzen wir alles in den allgemeinen Zusammenhang für die Produktregel ein.

Anzeige:
Anzeigen:
Kettenregel und Produktregel Beispiel
Sehen wir uns noch eine Mischung aus Kettenregel, Produktregel und Potenzregel an.
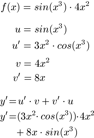
Beispiel 2:
Wie lautet die erste Ableitung der folgenden Gleichung mit Sinus?

Lösung:
Wir sehen uns zunächst die Funktion an um Kette, Produkt und Potenz zu ermitteln. daher benötigen wir Kettenregel, Produktregel und Potenzregel für die Ableitung.

Wir beginnen wieder mit der Produktregel. Daher unterteilen wir die Funktion wieder in zwei Teile mit u = sin(x3) und v = 4x2. Beides muss abgeleitet werden. Die v = 4x2 lässt sich recht einfach mit der Potenzregel ableiten und wir erhalten v' = 8.
Die Sinus-Funktion abzuleiten wird schon schwieriger. Für diese benötigen wir die Kettenregel. Die innere Funktion ist x3, abgeleitet 3x2. Die Ableitung für Sinus von irgendetwas - kurz sin(u) - ist Kosinus von irgendetwas oder kurz cos(u). Daher wird aus dem Sinus einfach ein Kosinus mit gleichem Inhalt der Klammer. Wir multiplizieren 3x2 mit cos(x3) und erhalten u' = 3x2 · cos(x3). Wer diese Art der Ableitung nicht versteht, findet Beispiele unter Kettenregel. Wir setzen alles in die Formel der Produktregel ein.

Aufgaben / Übungen Ableitungsregeln
Anzeigen:Video Ableitungsregeln
Kettenregel mit Beispiel
Die Ableitungsregel Kettenregel wird im nächsten Video gezeigt:
- Wofür braucht man diese Regel der Ableitung?
- Formel mit innerer und äußerer Funktion bzw. Ableitung.
- Aufgabe 1 zur Potenz mit Klammer ableiten.
- Aufgabe 2 zur Ableitung eines Sinus.
- Aufgabe 3 zur Ableitung einer E-Funktion.
Nächstes Video »
Fragen mit Antworten Produktregel und Kettenregel
In diesem Abschnitt sehen wir uns typische Fragen mit Antworten zum gemeinsamen Einsatz von Produktregel, Kettenregel und Potenzregel an.
F: Woher weiß ich, welche Regel ich zuerst anwenden muss?
A: Dazu gibt es einen Trick. In die Gleichung setzen wir für x eine Zahl ein, zum Beispiel x = 2. Damit rechnen wir die Aufgabe komplett durch. Am Beispiel von f(x) = sin(x3) * 4x2 von weiter oben soll dies einmal hier gezeigt werden. Zuerst wird die Klammer berechnet, danach der Sinus ausgerechnet. Der Taschenrechner muss auf RAD stehen. Danach erst die Potenz berechnen und im Anschluss die Multiplikationen.
- Wichtig: Der letzte Rechenschritt ist eine Multiplikation. Daher muss bei der Ableitung zuerst die Produktregel verwendet werden.

F: Welche Ableitungsregeln und Ableitungsthemen sollte ich mir neben der Kettenregel noch ansehen?
A: Die folgenden Themen werden in der Schule zu Ableitungen behandelt.
- Differentialrechnung Übersicht
- Ableitung: Grundlagen und Definition
- Ableitung Tabelle / Ableitungstabelle
- Ableitungsregeln
- Kurvendiskussion
Neue Artikel
- Raute ▷ Formeln, Eigenschaften und Beispiele
- Sachaufgaben Klasse 5 Mathematik Aufgaben
- Sachaufgaben Mathe: Klasse 5
- Worte in Zahlen Aufgaben (Übungen)
- Worte in Zahlen umwandeln
- Teilerfremdheit (Mathematik)
- Hohlmaße umrechnen
- Hundertertafel Grundschule
- Quersumme berechnen und Teilbarkeit
- Quadratzahlen berechnen (mit Liste)
