Ableitung Logarithmus / Logarithmusfunktion
Geschrieben von: Dennis RudolphSamstag, 07. Dezember 2019 um 15:01 Uhr
Wie man einen Logarithmus bzw. eine Logarithmusfunktion ableitet, lernt ihr hier. Dies sehen wir uns an:
- Eine Erklärung, wie man Gleichungen mit Logarithmus ableitet.
- Beispiele wie man mit der Kettenregel logarithmen ableitet.
- Aufgaben / Übungen um das Thema selbst zu üben.
- Ein Video zur Ableitungsregeln.
- Ein Frage- und Antwortbereich zu diesem Gebiet.
Tipp: Es ist hilfreich wenn ihr bereits wisst was ein Logarithmus ist und die Kettenregel kennt. Wer davon noch keine Ahnung hat wirft einen Blick in die Logarithmus Grundlagen und Kettenregel.
Logarithmus Ableitung Erklärung
Zunächst ein kurzer Hinweis:
Wird von der Logarithmus Ableitung gesprochen, dann ist meistens die Ableitung mit dem natürlichen Logarithmus ln gemeint. Wir starten daher hier zunächst mit der ln-Ableitung und sehen uns weiter unten noch die log-Ableitung an.
Starten wir mit der Ableitung vom natürlichen Logarithmus. Aus einer Tabelle für Ableitungen kann man zunächst die Ableitung von ln(x) entnehmen. Diese ist 1 : x. Dies ist eine wichtige Grundlage für die folgenden Beispiele und Aufgaben.

So einfach ist es selten. Daher sehen wir uns anspruchsvollere Logarithmusfunktionen zum Ableiten an.
Beispiel 1: Ableitung Logarithmus
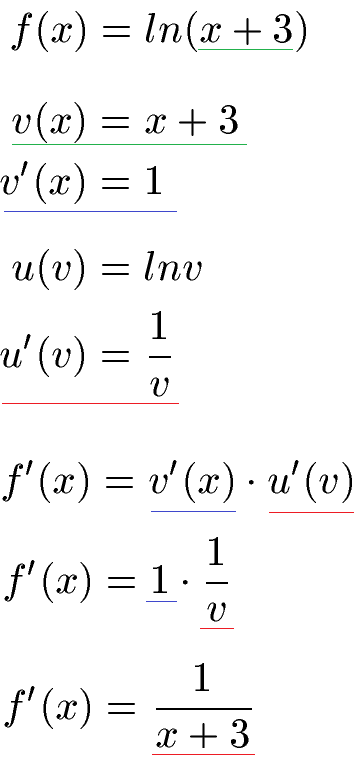
Wie lautet die erste Ableitung der folgenden Logarithmusfunktion?

Lösung:
Logarithmusfunktionen werde mit der Kettenregel abgeleitet. Dazu unterteilt man f(x) in eine innere Funktion und eine äußere Funktion und leitet beide jeweils ab. Die innere Funktion ist dabei x + 3, abgeleitet einfach 1. Die äußere Funktion ist der ln von irgendetwas, abgekürzt ln v. Einer Ableitungstabelle kann man entnehmen, dass die Ableitung von ln v einfach 1 : v ist. Beide Ableitungen werden miteinander multipliziert und für v wird v = x + 3 wie am Anfang festgelegt eingesetzt.

Anzeige:
Anzeigen:
Logarithmus Ableitung Beispiele
Sehen wir uns ein weiteres Beispiel zum Ableiten von einem natürlichen Logarithmus an.
Beispiel 2: Natürlicher Logarithmus ableiten
Die Ableitung einer Mischung aus natürlichem Logarithmus und Sinus-Funktion soll gefunden werden. Wie lautet die 1. Ableitung dieser Gleichung?

Ein Hinweis: Für die Lösung wird eine Substitution benötigt. Wer nicht mehr weiß was dies ist wirft einen Blick in den Artikel Substitution.
Lösung:
Um Logarithmus-Funktionen abzuleiten, wird die Kettenregel benötigt. Um die Ableitung durchzuführen arbeiten wir uns von innen nach außen. Daher substituieren wir zunächst mit u = 2x - 3. Wir ersetzen also 2x - 3 durch u. Dadurch vereinfacht sich unsere Gleichung zu y = ln (sin(u)). Dies findet man jedoch auch nicht in einer Ableitungstabelle. Daher substituieren wir erneut. Wir ersetzen sin(u) durch v. Unsere Gleichung vereinfacht sich zu y = ln (v).

Wir haben nun drei Funktionen gebastelt, die wir jeweils in einer Ableitungstabelle finden können. Diese müssen nach der jeweiligen Variable abgeleitet werden. Aus ln v wird dadurch 1 : v. Aus sin(u) wird cos(u) und 2x - 3 ist abgeleitet 2.

Zuletzt multiplizieren wir die drei Ableitungen miteinander. Dabei sollten wir die Substitutionen rückgängig machen. Wir setzen für u und v wieder alles von oben ein.

Aufgaben / Übungen Logarithmusableitung
Anzeigen:Video Ableitung Logarithmus
Formel und Beispiele
In diesem Video sehen wir uns die folgenden Themen an:
- Grundlagen ln x ableiten
- Kettenregel einsetzen
- Beispiel 1 mit ln(3x)
- Beispiel 2 mit ln(2x + 5)
Nächstes Video »
Fragen mit Antworten Logarithmus ableiten
In diesem Abschnitt sehen wir uns typische Fragen mit Antworten zur Ableitung vom Logarithmus an.
F: Wann kommt die Logarithmusableitung in der Schule vor?
A: Ableitungen stehen in der Regel ab der 10. Klasse auf dem Lehrplan, spätestens ab der 11. Klasse kommt diese jedoch vor. Sie wird in der Regel im Zusammenhang mit der Kettenregel besprochen. Es lohnt sich dieses Thema auch für das Abitur zu lernen.
F: Welche Ableitungsregeln und Ableitungsthemen sollte ich mir neben der Kettenregel noch ansehen?
A: Die folgenden Themen werden in der Schule zu Ableitungen behandelt.
- Differentialrechnung Übersicht
- Ableitung: Grundlagen und Definition
- Ableitung Tabelle / Ableitungstabelle
- Ableitungsregeln
- Kurvendiskussion
Neue Artikel
- Raute ▷ Formeln, Eigenschaften und Beispiele
- Sachaufgaben Klasse 5 Mathematik Aufgaben
- Sachaufgaben Mathe: Klasse 5
- Worte in Zahlen Aufgaben (Übungen)
- Worte in Zahlen umwandeln
- Teilerfremdheit (Mathematik)
- Hohlmaße umrechnen
- Hundertertafel Grundschule
- Quersumme berechnen und Teilbarkeit
- Quadratzahlen berechnen (mit Liste)
