Hochpunkt und Tiefpunkt
Geschrieben von: Dennis RudolphMontag, 16. Dezember 2019 um 10:29 Uhr
Was ein Hochpunkt oder Tiefpunkt ist und wie man diese berechnet, lernt ihr hier. Dies sehen wir uns an:
- Eine Erklärung, was Hoch- und Tiefpunkt sind.
- Beispiele wie man diese Punkte berechnet.
- Aufgaben / Übungen um das Thema selbst zu üben.
- Ein Video zu Tiefpunkt und Hochpunkt.
- Ein Frage- und Antwortbereich zu diesem Gebiet.
Tipp: Für die Berechnung von Hochpunkte und Tiefpunkt werden verschiedenen Regeln der Ableitung benötigt. Insbesondere die Potenzregel ist interessant, jedoch auch weitere Ableitungsregeln.
Hochpunkt und Tiefpunkt Erklärung
Nicht nur im echten Leben gibt es Hochpunkten und Tiefpunkten, sondern auch in der Mathematik. In der nächsten Grafik seht ihr zwei Stellen mit einem Maximum und zwei Stellen mit einem Minimum.

Einen Unterschied gibt es zwischen den beiden Hochpunkten (Maxima) und Tiefpunkten (Minima) dennoch. Die beiden Hochpunkte und Tiefpunkte sind verschieden hoch oder tief. Ist ein Punkt wirklich der höchste Punkt ist es der absolute Hochpunkt und die anderen Hochpunkte bezeichnet man als relative Hochpunkte, da sie nur das Maximum in einem bestimmten Bereich darstellen. Der allertiefste Punkt (Minimum) ist der absolute Tiefpunkt und die anderen sind relative Tiefpunkte.
Sowohl Hochpunkte als auch Tiefpunkte bezeichnet man als Extrempunkte. Wie findet man diese Hoch- und Tiefpunkte? Eine Möglichkeit besteht darin die Funktion zu zeichnen, sich den Verlauf anzusehen und den Punkt einfach abzulesen. Dies hat jedoch den Nachteil, dass man unter Umständen eine sehr aufwendige Funktion zeichnen muss und wenn der Hochpunkt oder Tiefpunkt nicht exakt bei x = 2 liegt sondern bei x = 2,3091 kann man diesen nicht präzise ablesen.
Rechnerisch gibt es zwei Möglichkeiten:
- Das Vorzeichenwechselkriterium
- Zweite Ableitung testen
In den meisten Fällen ist das Vorzeichenwechselkiterium deutlich schwieriger umzusetzen. Wer dieses Verfahren lernen möchte schaut in den Link von eben rein. Im nächsten Abschnitt verwenden wie die zweite Ableitung um Hochpunkt oder Tiefpunkt einer Funktion zu bestimmen.
Anzeige:
Anzeigen:
Beispiel Hochpunkt / Tiefpunkt berechnen
Sehen wir uns einmal an wie man Hochpunkt und Tiefpunkt berechnet. Da viele Schüler und Schülerinnen bei Zwischenschritten scheitern, soll dies hier einmal sehr ausführlich dargestellt werden.
Beispiel 1: Hochpunkt / Tiefpunkt berechnen
Wo liegen Hochpunkt und Tiefpunkt bei der nächsten Funktion?

Lösung:
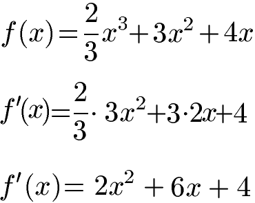
Im ersten Schritt nutzen wir die Potenzregel um die erste Ableitung zu bilden. Die erste Ableitung vereinfachen wir noch.

Wir kennen jetzt die erste Ableitung der Funktion. Im zweiten Schritt setzen diese Gleichung gleich Null. Wir erhalten eine quadratische Gleichung, welche wir mit der PQ-Formel lösen. Dazu lesen wir p = 3 und q = 2 ab und setzen dies in die allgemeine Lösungsformel ein. Im Anschluss berechnen wir x1 = -1 und x2 = -2.

Bei x1 = -1 und x2 = -2 liegen die Punkte, welche wir nun näher untersuchen möchten. Um dies zu tun bilden wir im nächsten Schritt die zweite Ableitung der Funktion. Dabei verwenden wir erneut die Potenzregel.

Um herauszufinden, ob es sich bei x1 = -1 und x2 = -2 um einen Hochpunkt oder Tiefpunkt handelt, setzen wir diese beiden x-Werte in f''(x) ein. Ist das Ergebnis größer als Null ist der Punkt ein Tiefpunkt. Ist das Ergebnis kleiner als Null liegt ein Hochpunkt vor.

Die Berechnung zeigt, dass bei x1 = -1 ein Tiefpunkt vorliegt und bei x2 = -2 ein Hochpunkt. Wir kennen damit die x-Werte dieser Extrempunkte. Jetzt berechnen wir noch deren y-Werte. Dazu setzen wir x = -1 und x = -2 in die Ausgangsfunktion ein.

Der Tiefpunkt liegt bei x = -1 und y = - 5 : 3. Den Hochpunkt berechnen wir gleich noch zu x = -2 und y = - 4 : 3.

Aufgaben / Übungen Hoch- und Tiefpunkte
Anzeigen:Video Hochpunkt und Tiefpunkt
Extrempunkte berechnen
Im nächsten Video geht es um Extremstellen:
- Was ist ein Hochpunkt?
- Was ist ein Tiefpunkt?
- Wie sehen solche Punkte aus?
- Wie berechne ich diese Extrempunkte?
- Beispiel wird vorgerechnet und erklärt.
Nächstes Video »
Fragen mit Antworten Hochpunkt / Tiefpunkt berechnen
In diesem Abschnitt sehen wir uns typische Fragen mit Antworten zu Hoch- und Tiefpunkten an.
F: Wie geht man vor wenn man Tiefpunkte und Hochpunkte finden möchte?
A: Die Vorgehensweise um Extrempunkte zu berechnen ist diese:
- Wir bilden die erste Ableitung der Funktion.
- Wir setzen die erste Ableitung gleich Null und berechnen x.
- Wir bilden die zweite Ableitung der Funktion.
- In die zweite Ableitung setzen wir die berechneten x-Werte von der ersten Ableitung ein.
- Ist das Ergebnis größer 0 liegt ein Tiefpunkt vor.
- Ist das Ergebnis kleiner 0 liegt ein Hochpunkt vor.
- Wir setzen die berechneten x-Werte bei der ersten Ableitung in f(x) ein und berechnen den y-Wert.
F: Welche Ableitungsregeln und Ableitungsthemen sollte ich kennen?
A: Die folgenden Themen werden in der Schule zu Ableitungen behandelt.
- Differentialrechnung Übersicht
- Ableitung: Grundlagen und Definition
- Ableitung Tabelle / Ableitungstabelle
- Ableitungsregeln
- Kurvendiskussion
Neue Artikel
- Raute ▷ Formeln, Eigenschaften und Beispiele
- Sachaufgaben Klasse 5 Mathematik Aufgaben
- Sachaufgaben Mathe: Klasse 5
- Worte in Zahlen Aufgaben (Übungen)
- Worte in Zahlen umwandeln
- Teilerfremdheit (Mathematik)
- Hohlmaße umrechnen
- Hundertertafel Grundschule
- Quersumme berechnen und Teilbarkeit
- Quadratzahlen berechnen (mit Liste)
