Verhalten im Unendlichen: Gebrochenrationale Funktion
Geschrieben von: Dennis RudolphMontag, 16. Dezember 2019 um 10:37 Uhr
Das Verhalten im Unendlichen für gebrochenrationale Funktionen sehen wir uns hier an. Dies sind die Themen:
- Eine Erklärung, was man unter dem Verhalten im Unendlichen versteht.
- Beispiele für die Berechnung dieser Grenzwerte.
- Aufgaben / Übungen um das Thema selbst zu üben.
- Ein Video zum Verhalten im Unendlichen.
- Ein Frage- und Antwortbereich zu diesem Gebiet.
Tipp: Wir sehen uns hier das Verhalten im Unendlichen für gebrochenrationale Funktionen an. Wer dies etwas allgemeiner benötigt sieht in die Übersicht rein unter Verhalten im Unendlichen.
Gebrochenrationale Funktion im Unendlichen
Was versteht man unter der Untersuchung von gebrochenrationalen Funktionen im Unendlichen?
In der Kurvendiskussion interessiert man sich sehr oft für bestimmte Grenzwerte. Dafür untersucht man zum Beispiel, wie sich gebrochenrationale Funktionen verhalten, wenn ganz große oder ganz kleine Zahlen eingesetzt werden.
Man unterscheidet bei der Untersuchung von ganzrationalen Funktionen drei unterschiedliche Fälle:
- Höchste Potenz im Nenner höher als höchste Potenz im Zähler.
- Höchste Potenz im Zähler höher als höchste Potenz im Nenner.
- Höchste Potenz im Zähler und Nenner gleich.
Beispiel: Potenz Nenner größer als Potenz Zähler
Im diesem Beispiel haben wir eine ganzrationale Funktion. Die höchste Potenz im Zähler ist x3 und die höchste Potenz im Nenner lautet x4. Setzen wir jetzt immer größere Zahlen (10, 100, 1000 etc.) oder immer kleinere Zahlen (-10, -100, -1000 etc.) ein, wird der Nenner schneller wachsen als der Zähler. Die Zahl im Nenner wächst viel schneller da die Potenz höher ist. Dies führt dazu, dass der ausgerechnete Bruch immer weiter Richtung 0 läuft.

Wer diese Überlegung nicht glaubt, sollte einfach einmal x = 10 und x = 100 einsetzen. Dann werdet ihr sehen, dass sich das Ergebnis mit größerem oder negativerem x immer weiter der 0 nähert.
Merke: Ist die höchste Potenz im Nenner größer als die höchste Potenz im Zähler läuft der Bruch beim Verhalten gegen plus unendlich oder minus unendlich gegen 0.
Anzeige:
Anzeigen:
Verhalten im Unendlichen gebrochenrationale Funktion Beispiele
In diesem Abschnitt sehen wir uns zwei weitere Beispiele für das Verhalten gebrochenrationaler Funktionen gegen plus und minus unendlich an.
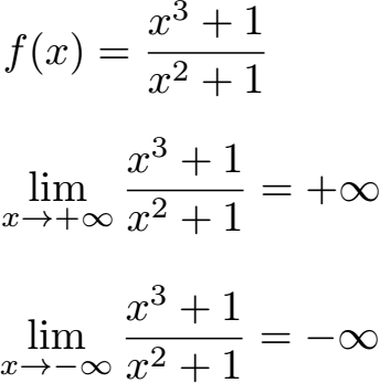
Beispiel: Potenz Zähler größer als Potenz Nenner
Im nächsten Beispiel haben wir mit x3 eine höhere Potenz im Zähler als mit x2 im Nenner. Setzen wir für x immer größere Zahlen ein (10, 100, 1000 etc.) wächst der Zähler wegen der höheren Potenz immer schneller, sprich das x3 wächst schneller als x2. Daher läuft der Bruch gegen plus unendlich. Setzt man hingegen immer negativere Zahlen ein (-10, -100, -1000 etc.) läuft der Bruch hingegen gegen minus unendlich. Dies liegt daran, dass wenn man eine negative Zahl drei Mal aufschreibt und mit sich selbst multipliziert das Ergebnis negativ ist. Beispiel: (-10)(-10) = +100 aber (-10)(-10)(-10) = - 1000.

Beispiel: Potenz Zähler so groß wie Potenz Nenner
Bleibt uns noch ein dritter Fall. Die höchsten Potenzen im Zäher und Nenner sind gleich wie im nächsten Beispiel. Hier ist eine andere Vorgehensweise nötig um den Grenzwert zu berechnen. Dazu teilen wir jeden Ausdruck im Zähler und Nenner durch x2. Im Anschluss überlegen wir uns, was passiert, wenn für x2 hohe positive oder hohe negative Zahlen eingesetzt werden. Dies würde dazu führen, dass 3 : x2 gegen Null läuft (da der Nenner davon stark wächst) und das 1 : x2 gegen Null läuft (da der Nenner stark wächst). Es bleibt am Ende 2 : 5 übrig.

Aufgaben / Übungen Verhalten im Unendlichen
Anzeigen:Video Grenzwerte
Beispiele und Erklärungen
Dies sehen wir uns im nächsten Video an:
- Das Verhalten von Funktionen bzw. Gleichungen gegen plus und minus unendlich.
- Zum besseren Verständnis werden dazu auch sehr große und sehr kleine Zahlen in die Funktion eingesetzt.
- Außerdem werden Beispiele erklärt und vorgerechnet.
Nächstes Video »
Fragen mit Antworten: Verhalten im Unendlichen gebrochenrationale Funktion
In diesem Abschnitt sehen wir uns Fragen mit Antworten zum Verhalten im Unendlichen für gebrochenrationale Funktionen an.
F: Welche Themen sollte ich zum Verhalten im Unendlichen kennen?
A: Diese Themen solltet ihr lernen, falls noch nicht geschehen:
F: Welche Ableitungsregeln und Ableitungsthemen sollte ich kennen?
A: Die folgenden Themen werden in der Schule zu Ableitungen behandelt.
- Differentialrechnung Übersicht
- Ableitung: Grundlagen und Definition
- Ableitung Tabelle / Ableitungstabelle
- Ableitungsregeln
- Kurvendiskussion
Neue Artikel
- Raute ▷ Formeln, Eigenschaften und Beispiele
- Sachaufgaben Klasse 5 Mathematik Aufgaben
- Sachaufgaben Mathe: Klasse 5
- Worte in Zahlen Aufgaben (Übungen)
- Worte in Zahlen umwandeln
- Teilerfremdheit (Mathematik)
- Hohlmaße umrechnen
- Hundertertafel Grundschule
- Quersumme berechnen und Teilbarkeit
- Quadratzahlen berechnen (mit Liste)
